Event ID: 523675
Origin ID: 1377612
Date: 2015/12/23,06:22:36
Filename: gmtmap.jpg

Solution Name: T033.0sec_Z014.0km_
Event ID: 523675
Origin ID: 1377612
Date: 2015/12/23,06:22:36
Seismic Moment Tensor Solution

2015/12/23 (357) 06:22:33.00 39.4332 -119.7886 1377612
	Depth =  14.0 (km)
	Mw    =  3.29
	Mo    =  1.08x10^21 (dyne x cm)

	Percent Double Couple =  98 %
	Percent CLVD          =   2 %
	no ISO calculated
	Epsilon=-0.01
	 Percent Variance Reduction =   2.39 %
	 Total Fit                  =  0.73 
	Major Double Couple
		            strike dip   rake
		Nodal Plane 1: 200  67  -25
		Nodal Plane 2: 300  67 -155

	DEVIATORIC MOMENT TENSOR

	Moment Tensor Elements: Spherical Coordinates
		Mrr= -0.33 Mtt= -0.53 Mff=  0.86
		Mrt=  0.48 Mrf=  0.17 Mtf= -0.59 EXP=21


	Moment Tensor Elements: Cartesian Coordinates
		-0.53  0.59  0.48
		 0.59  0.86 -0.17
		 0.48 -0.17 -0.33

	Eigenvalues:
		T-axis eigenvalue=  1.08
		N-axis eigenvalue=  0.01
		P-axis eigenvalue= -1.09

	Eigenvalues and eigenvectors of the Major Double Couple:
		T-axis ev= 1.08 trend=70 plunge=0
		N-axis ev= 0.00 trend=339 plunge=56
		P-axis ev=-1.08 trend=160 plunge=34

	Maximum Azmuithal Gap=120 Distance to Nearest Station= 16.4 (km)

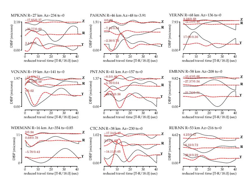
	Number of Stations (D=Displacement/V=Velocity) Used=9 (defining only)
		
	 WDEM.NN.D VCN.NN.D MPK.NN.D CTC.NN.D
	 PNT.NN.D PAH.NN.D RUB.NN.D EMB.NN.D
	 YER.NN.D


              ---------------###                            
          ----------------#########                         
        -----------------############                       
      -----------------################                     
     -----------------###################                   
    ######-----------#####################                  
  -###############-#####################                    
  ###################################### T                  
 ##################---##################   #                
 ##################------###################                
 #################----------#################               
 ################--------------##############               
 ###############-----------------############               
 ###############-------------------##########               
 ###############---------------------#######                
 ##############-----------------------######                
  #############------------------------####                 
   ############-------------------------###                 
   ############---------------------------                  
     ##########-------------------------                    
      #########-----------   ----------                     
        #######----------- P --------                       
          ######----------   -----                          
              ##---------------                             
                                                            


All Stations defining and nondefining: 
Station.Net 	Def 	Distance 	Azi    	Bazi  	lo-f 	hi-f vmodel
            	    	(km)     	(deg)  	(deg) 	(Hz) 	(Hz)    
WDEM.NN (D) 	Y 	    16.4  	354  	174  	0.020 	0.080 WDEM.NN.wus.glib
VCN.NN (D) 	Y 	    19.0  	141  	321  	0.020 	0.080 VCN.NN.wus.glib
MPK.NN (D) 	Y 	    26.8  	234  	 54  	0.020 	0.080 MPK.NN.wus.glib
CTC.NN (D) 	Y 	    38.4  	230  	 50  	0.020 	0.080 CTC.NN.wus.glib
PNT.NN (D) 	Y 	    41.4  	157  	337  	0.020 	0.080 PNT.NN.wus.glib
PAH.NN (D) 	Y 	    45.9  	 48  	228  	0.020 	0.080 PAH.NN.wus.glib
RUB.NN (D) 	Y 	    52.7  	216  	 36  	0.020 	0.080 RUB.NN.wus.glib
EMB.NN (D) 	Y 	    58.0  	208  	 27  	0.020 	0.080 EMB.NN.wus.glib
YER.NN (D) 	Y 	    68.2  	136  	316  	0.020 	0.080 YER.NN.wus.glib
RYN.NN (D) 	N 	   141.3  	129  	310  	0.020 	0.080 RYN.NN.wus.glib
ORV.BK (D) 	N 	   147.3  	276  	 95  	0.020 	0.080 ORV.BK.wus.glib
KVN.NN (D) 	N 	   151.4  	106  	287  	0.020 	0.080 KVN.NN.wus.glib
CMB.BK (D) 	N 	   164.4  	199  	 18  	0.020 	0.080 CMB.BK.wus.glib

 (V)-velocity (D)-Displacement

Author: rt
Date: 2016/01/13 18:39:09 UTC

Date: 2016/01/13 10:39:09 PST

mtinv Version 3.0.3 Thu Apr 17 11:01:57 EDT 2014


Solution Name: T034.0sec_Z012.0km_
Event ID: 523675
Origin ID: 1377612
Date: 2015/12/23,06:22:36
Seismic Moment Tensor Solution

2015/12/23 (357) 06:22:34.00 39.4332 -119.7886 1377612
	Depth =  12.0 (km)
	Mw    =  3.35
	Mo    =  1.33x10^21 (dyne x cm)

	Percent Double Couple =  98 %
	Percent CLVD          =   2 %
	no ISO calculated
	Epsilon=0.01
	 Percent Variance Reduction =   4.10 %
	 Total Fit                  =  1.39 
	Major Double Couple
		            strike dip   rake
		Nodal Plane 1: 308  65 -158
		Nodal Plane 2: 208  70  -27

	DEVIATORIC MOMENT TENSOR

	Moment Tensor Elements: Spherical Coordinates
		Mrr= -0.39 Mtt= -0.84 Mff=  1.23
		Mrt=  0.56 Mrf=  0.22 Mtf= -0.46 EXP=21


	Moment Tensor Elements: Cartesian Coordinates
		-0.84  0.46  0.56
		 0.46  1.23 -0.22
		 0.56 -0.22 -0.39

	Eigenvalues:
		T-axis eigenvalue=  1.34
		N-axis eigenvalue= -0.01
		P-axis eigenvalue= -1.32

	Eigenvalues and eigenvectors of the Major Double Couple:
		T-axis ev= 1.34 trend=259 plunge=3
		N-axis ev= 0.00 trend=354 plunge=57
		P-axis ev=-1.34 trend=167 plunge=33

	Maximum Azmuithal Gap=120 Distance to Nearest Station= 16.4 (km)

	Number of Stations (D=Displacement/V=Velocity) Used=9 (defining only)
		
	 WDEM.NN.D VCN.NN.D MPK.NN.D CTC.NN.D
	 PNT.NN.D PAH.NN.D RUB.NN.D EMB.NN.D
	 YER.NN.D


              -----------------                             
          ---------------------####                         
        --------------------#########                       
      --------------------#############                     
     #######-------------################                   
    ##############-----###################                  
  -##################-#####################                 
  #########################################                 
 ####################---####################                
 ###################------##################                
 ##################---------#################               
 #################------------###############               
 ################---------------#############               
  ##############------------------###########               
T ##############-------------------#########                
  #############---------------------########                
  ############-----------------------######                 
   ###########------------------------#####                 
   ##########--------------------------###                  
     ########--------------------------##                   
      #######-----------   ------------                     
        #####----------- P ----------                       
          ###-----------   -------                          
              -----------------                             
                                                            


All Stations defining and nondefining: 
Station.Net 	Def 	Distance 	Azi    	Bazi  	lo-f 	hi-f vmodel
            	    	(km)     	(deg)  	(deg) 	(Hz) 	(Hz)    
WDEM.NN (D) 	Y 	    16.4  	354  	174  	0.020 	0.080 WDEM.NN.wus.glib
VCN.NN (D) 	Y 	    19.0  	141  	321  	0.020 	0.080 VCN.NN.wus.glib
MPK.NN (D) 	Y 	    26.8  	234  	 54  	0.020 	0.080 MPK.NN.wus.glib
CTC.NN (D) 	Y 	    38.4  	230  	 50  	0.020 	0.080 CTC.NN.wus.glib
PNT.NN (D) 	Y 	    41.4  	157  	337  	0.020 	0.080 PNT.NN.wus.glib
PAH.NN (D) 	Y 	    45.9  	 48  	228  	0.020 	0.080 PAH.NN.wus.glib
RUB.NN (D) 	Y 	    52.7  	216  	 36  	0.020 	0.080 RUB.NN.wus.glib
EMB.NN (D) 	Y 	    58.0  	208  	 27  	0.020 	0.080 EMB.NN.wus.glib
YER.NN (D) 	Y 	    68.2  	136  	316  	0.020 	0.080 YER.NN.wus.glib
RYN.NN (D) 	N 	   141.3  	129  	310  	0.020 	0.080 RYN.NN.wus.glib
ORV.BK (D) 	N 	   147.3  	276  	 95  	0.020 	0.080 ORV.BK.wus.glib
KVN.NN (D) 	N 	   151.4  	106  	287  	0.020 	0.080 KVN.NN.wus.glib
CMB.BK (D) 	N 	   164.4  	199  	 18  	0.020 	0.080 CMB.BK.wus.glib

 (V)-velocity (D)-Displacement

Author: rt
Date: 2016/01/13 18:39:09 UTC

Date: 2016/01/13 10:39:09 PST

mtinv Version 3.0.3 Thu Apr 17 11:01:57 EDT 2014


Solution Name: T035.0sec_Z010.0km_
Event ID: 523675
Origin ID: 1377612
Date: 2015/12/23,06:22:36
Seismic Moment Tensor Solution

2015/12/23 (357) 06:22:35.00 39.4332 -119.7886 1377612
	Depth =  10.0 (km)
	Mw    =  3.39
	Mo    =  1.50x10^21 (dyne x cm)

	Percent Double Couple =  89 %
	Percent CLVD          =  11 %
	no ISO calculated
	Epsilon=-0.06
	 Percent Variance Reduction =   6.05 %
	 Total Fit                  =  0.49 
	Major Double Couple
		            strike dip   rake
		Nodal Plane 1: 312  66 -163
		Nodal Plane 2: 215  74  -25

	DEVIATORIC MOMENT TENSOR

	Moment Tensor Elements: Spherical Coordinates
		Mrr= -0.28 Mtt= -1.13 Mff=  1.40
		Mrt=  0.67 Mrf=  0.23 Mtf= -0.30 EXP=21


	Moment Tensor Elements: Cartesian Coordinates
		-1.13  0.30  0.67
		 0.30  1.40 -0.23
		 0.67 -0.23 -0.28

	Eigenvalues:
		T-axis eigenvalue=  1.45
		N-axis eigenvalue=  0.09
		P-axis eigenvalue= -1.54

	Eigenvalues and eigenvectors of the Major Double Couple:
		T-axis ev= 1.45 trend=265 plunge=5
		N-axis ev= 0.00 trend=5 plunge=61
		P-axis ev=-1.45 trend=172 plunge=29

	Maximum Azmuithal Gap=120 Distance to Nearest Station= 16.4 (km)

	Number of Stations (D=Displacement/V=Velocity) Used=9 (defining only)
		
	 WDEM.NN.D VCN.NN.D MPK.NN.D CTC.NN.D
	 PNT.NN.D PAH.NN.D RUB.NN.D EMB.NN.D
	 YER.NN.D


              -----------------                             
          -------------------------                         
        ------------------------#####                       
      #----------------------##########                     
     ##########-------------#############                   
    ###############-------################                  
  -###################--###################                 
  #########################################                 
 ######################-####################                
 #####################----##################                
 ###################--------#################               
 ##################-----------###############               
  ################-------------##############               
T ###############----------------############               
  ##############------------------##########                
 ##############--------------------#########                
  ############----------------------#######                 
   ##########------------------------######                 
   #########-------------------------#####                  
     #######--------------------------###                   
      #####---------------------------#                     
        ###-----------   ------------                       
          ------------ P ---------                          
              --------   ------                             
                                                            


All Stations defining and nondefining: 
Station.Net 	Def 	Distance 	Azi    	Bazi  	lo-f 	hi-f vmodel
            	    	(km)     	(deg)  	(deg) 	(Hz) 	(Hz)    
WDEM.NN (D) 	Y 	    16.4  	354  	174  	0.020 	0.080 WDEM.NN.wus.glib
VCN.NN (D) 	Y 	    19.0  	141  	321  	0.020 	0.080 VCN.NN.wus.glib
MPK.NN (D) 	Y 	    26.8  	234  	 54  	0.020 	0.080 MPK.NN.wus.glib
CTC.NN (D) 	Y 	    38.4  	230  	 50  	0.020 	0.080 CTC.NN.wus.glib
PNT.NN (D) 	Y 	    41.4  	157  	337  	0.020 	0.080 PNT.NN.wus.glib
PAH.NN (D) 	Y 	    45.9  	 48  	228  	0.020 	0.080 PAH.NN.wus.glib
RUB.NN (D) 	Y 	    52.7  	216  	 36  	0.020 	0.080 RUB.NN.wus.glib
EMB.NN (D) 	Y 	    58.0  	208  	 27  	0.020 	0.080 EMB.NN.wus.glib
YER.NN (D) 	Y 	    68.2  	136  	316  	0.020 	0.080 YER.NN.wus.glib
RYN.NN (D) 	N 	   141.3  	129  	310  	0.020 	0.080 RYN.NN.wus.glib
ORV.BK (D) 	N 	   147.3  	276  	 95  	0.020 	0.080 ORV.BK.wus.glib
KVN.NN (D) 	N 	   151.4  	106  	287  	0.020 	0.080 KVN.NN.wus.glib
CMB.BK (D) 	N 	   164.4  	199  	 18  	0.020 	0.080 CMB.BK.wus.glib

 (V)-velocity (D)-Displacement

Author: rt
Date: 2016/01/13 18:39:08 UTC

Date: 2016/01/13 10:39:08 PST

mtinv Version 3.0.3 Thu Apr 17 11:01:57 EDT 2014


Solution Name: T036.0sec_Z010.0km_
Event ID: 523675
Origin ID: 1377612
Date: 2015/12/23,06:22:36
Seismic Moment Tensor Solution

2015/12/23 (357) 06:22:36.00 39.4332 -119.7886 1377612
	Depth =  10.0 (km)
	Mw    =  3.42
	Mo    =  1.69x10^21 (dyne x cm)

	Percent Double Couple =  99 %
	Percent CLVD          =   1 %
	no ISO calculated
	Epsilon=0.00
	 Percent Variance Reduction =   7.32 %
	 Total Fit                  =  4.11 
	Major Double Couple
		            strike dip   rake
		Nodal Plane 1: 316  67 -163
		Nodal Plane 2: 219  75  -24

	DEVIATORIC MOMENT TENSOR

	Moment Tensor Elements: Spherical Coordinates
		Mrr= -0.36 Mtt= -1.31 Mff=  1.67
		Mrt=  0.69 Mrf=  0.21 Mtf= -0.14 EXP=21


	Moment Tensor Elements: Cartesian Coordinates
		-1.31  0.14  0.69
		 0.14  1.67 -0.21
		 0.69 -0.21 -0.36

	Eigenvalues:
		T-axis eigenvalue=  1.70
		N-axis eigenvalue= -0.01
		P-axis eigenvalue= -1.69

	Eigenvalues and eigenvectors of the Major Double Couple:
		T-axis ev= 1.70 trend=268 plunge=5
		N-axis ev= 0.00 trend=8 plunge=61
		P-axis ev=-1.70 trend=176 plunge=28

	Maximum Azmuithal Gap=120 Distance to Nearest Station= 16.4 (km)

	Number of Stations (D=Displacement/V=Velocity) Used=9 (defining only)
		
	 WDEM.NN.D VCN.NN.D MPK.NN.D CTC.NN.D
	 PNT.NN.D PAH.NN.D RUB.NN.D EMB.NN.D
	 YER.NN.D


              -----------------                             
          -------------------------                         
        ---------------------------##                       
      ######--------------------#######                     
     ###########-------------############                   
    ################-------###############                  
  -###################---##################                 
  #########################################                 
 ###########################################                
 #####################----##################                
 ####################------##################               
  #################----------################               
T ################-------------##############               
  ##############----------------#############               
 ##############------------------###########                
 #############--------------------##########                
  ###########----------------------########                 
   #########------------------------#######                 
   ########-------------------------######                  
     ######--------------------------####                   
      ####---------------------------##                     
        ##----------   --------------                       
          ---------- P -----------                          
              ------   --------                             
                                                            


All Stations defining and nondefining: 
Station.Net 	Def 	Distance 	Azi    	Bazi  	lo-f 	hi-f vmodel
            	    	(km)     	(deg)  	(deg) 	(Hz) 	(Hz)    
WDEM.NN (D) 	Y 	    16.4  	354  	174  	0.020 	0.080 WDEM.NN.wus.glib
VCN.NN (D) 	Y 	    19.0  	141  	321  	0.020 	0.080 VCN.NN.wus.glib
MPK.NN (D) 	Y 	    26.8  	234  	 54  	0.020 	0.080 MPK.NN.wus.glib
CTC.NN (D) 	Y 	    38.4  	230  	 50  	0.020 	0.080 CTC.NN.wus.glib
PNT.NN (D) 	Y 	    41.4  	157  	337  	0.020 	0.080 PNT.NN.wus.glib
PAH.NN (D) 	Y 	    45.9  	 48  	228  	0.020 	0.080 PAH.NN.wus.glib
RUB.NN (D) 	Y 	    52.7  	216  	 36  	0.020 	0.080 RUB.NN.wus.glib
EMB.NN (D) 	Y 	    58.0  	208  	 27  	0.020 	0.080 EMB.NN.wus.glib
YER.NN (D) 	Y 	    68.2  	136  	316  	0.020 	0.080 YER.NN.wus.glib
RYN.NN (D) 	N 	   141.3  	129  	310  	0.020 	0.080 RYN.NN.wus.glib
ORV.BK (D) 	N 	   147.3  	276  	 95  	0.020 	0.080 ORV.BK.wus.glib
KVN.NN (D) 	N 	   151.4  	106  	287  	0.020 	0.080 KVN.NN.wus.glib
CMB.BK (D) 	N 	   164.4  	199  	 18  	0.020 	0.080 CMB.BK.wus.glib

 (V)-velocity (D)-Displacement

Author: rt
Date: 2016/01/13 18:39:27 UTC

Date: 2016/01/13 10:39:27 PST

mtinv Version 3.0.3 Thu Apr 17 11:01:57 EDT 2014


Solution Name: T037.0sec_Z010.0km_
Event ID: 523675
Origin ID: 1377612
Date: 2015/12/23,06:22:36
Seismic Moment Tensor Solution

2015/12/23 (357) 06:22:37.00 39.4332 -119.7886 1377612
	Depth =  10.0 (km)
	Mw    =  3.44
	Mo    =  1.80x10^21 (dyne x cm)

	Percent Double Couple =  93 %
	Percent CLVD          =   7 %
	no ISO calculated
	Epsilon=0.04
	 Percent Variance Reduction =   8.01 %
	 Total Fit                  =  0.96 
	Major Double Couple
		            strike dip   rake
		Nodal Plane 1: 318  68 -164
		Nodal Plane 2: 222  75  -23

	DEVIATORIC MOMENT TENSOR

	Moment Tensor Elements: Spherical Coordinates
		Mrr= -0.39 Mtt= -1.43 Mff=  1.82
		Mrt=  0.68 Mrf=  0.17 Mtf=  0.02 EXP=21


	Moment Tensor Elements: Cartesian Coordinates
		-1.43 -0.02  0.68
		-0.02  1.82 -0.17
		 0.68 -0.17 -0.39

	Eigenvalues:
		T-axis eigenvalue=  1.83
		N-axis eigenvalue= -0.07
		P-axis eigenvalue= -1.77

	Eigenvalues and eigenvectors of the Major Double Couple:
		T-axis ev= 1.83 trend=271 plunge=5
		N-axis ev= 0.00 trend=11 plunge=63
		P-axis ev=-1.83 trend=179 plunge=26

	Maximum Azmuithal Gap=120 Distance to Nearest Station= 16.4 (km)

	Number of Stations (D=Displacement/V=Velocity) Used=9 (defining only)
		
	 WDEM.NN.D VCN.NN.D MPK.NN.D CTC.NN.D
	 PNT.NN.D PAH.NN.D RUB.NN.D EMB.NN.D
	 YER.NN.D


              -----------------                             
          -------------------------                         
        -----------------------------                       
      ########--------------------#####                     
     ############--------------##########                   
    ################--------##############                  
  -###################----#################                 
  #########################################                 
 ###########################################                
 ######################--###################                
  ###################------##################               
T #################---------#################               
  ################------------###############               
 ###############---------------##############               
 ##############-----------------############                
 #############-------------------###########                
  ###########---------------------#########                 
   ########------------------------########                 
   ########-------------------------######                  
     ####---------------------------#####                   
      ###---------------------------###                     
        ------------   --------------                       
          ---------- P -----------                          
              ------   --------                             
                                                            


All Stations defining and nondefining: 
Station.Net 	Def 	Distance 	Azi    	Bazi  	lo-f 	hi-f vmodel
            	    	(km)     	(deg)  	(deg) 	(Hz) 	(Hz)    
WDEM.NN (D) 	Y 	    16.4  	354  	174  	0.020 	0.080 WDEM.NN.wus.glib
VCN.NN (D) 	Y 	    19.0  	141  	321  	0.020 	0.080 VCN.NN.wus.glib
MPK.NN (D) 	Y 	    26.8  	234  	 54  	0.020 	0.080 MPK.NN.wus.glib
CTC.NN (D) 	Y 	    38.4  	230  	 50  	0.020 	0.080 CTC.NN.wus.glib
PNT.NN (D) 	Y 	    41.4  	157  	337  	0.020 	0.080 PNT.NN.wus.glib
PAH.NN (D) 	Y 	    45.9  	 48  	228  	0.020 	0.080 PAH.NN.wus.glib
RUB.NN (D) 	Y 	    52.7  	216  	 36  	0.020 	0.080 RUB.NN.wus.glib
EMB.NN (D) 	Y 	    58.0  	208  	 27  	0.020 	0.080 EMB.NN.wus.glib
YER.NN (D) 	Y 	    68.2  	136  	316  	0.020 	0.080 YER.NN.wus.glib
RYN.NN (D) 	N 	   141.3  	129  	310  	0.020 	0.080 RYN.NN.wus.glib
ORV.BK (D) 	N 	   147.3  	276  	 95  	0.020 	0.080 ORV.BK.wus.glib
KVN.NN (D) 	N 	   151.4  	106  	287  	0.020 	0.080 KVN.NN.wus.glib
CMB.BK (D) 	N 	   164.4  	199  	 18  	0.020 	0.080 CMB.BK.wus.glib

 (V)-velocity (D)-Displacement

Author: rt
Date: 2016/01/13 18:39:08 UTC

Date: 2016/01/13 10:39:08 PST

mtinv Version 3.0.3 Thu Apr 17 11:01:57 EDT 2014


Solution Name: T038.0sec_Z010.0km_
Event ID: 523675
Origin ID: 1377612
Date: 2015/12/23,06:22:36
Seismic Moment Tensor Solution

2015/12/23 (357) 06:22:38.00 39.4332 -119.7886 1377612
	Depth =  10.0 (km)
	Mw    =  3.44
	Mo    =  1.81x10^21 (dyne x cm)

	Percent Double Couple =  91 %
	Percent CLVD          =   9 %
	no ISO calculated
	Epsilon=0.04
	 Percent Variance Reduction =   7.83 %
	 Total Fit                  =  0.79 
	Major Double Couple
		            strike dip   rake
		Nodal Plane 1: 321  71 -166
		Nodal Plane 2: 226  77  -19

	DEVIATORIC MOMENT TENSOR

	Moment Tensor Elements: Spherical Coordinates
		Mrr= -0.33 Mtt= -1.50 Mff=  1.83
		Mrt=  0.61 Mrf=  0.11 Mtf=  0.19 EXP=21


	Moment Tensor Elements: Cartesian Coordinates
		-1.50 -0.19  0.61
		-0.19  1.83 -0.11
		 0.61 -0.11 -0.33

	Eigenvalues:
		T-axis eigenvalue=  1.85
		N-axis eigenvalue= -0.08
		P-axis eigenvalue= -1.77

	Eigenvalues and eigenvectors of the Major Double Couple:
		T-axis ev= 1.85 trend=274 plunge=4
		N-axis ev= 0.00 trend=14 plunge=67
		P-axis ev=-1.85 trend=182 plunge=23

	Maximum Azmuithal Gap=120 Distance to Nearest Station= 16.4 (km)

	Number of Stations (D=Displacement/V=Velocity) Used=9 (defining only)
		
	 WDEM.NN.D VCN.NN.D MPK.NN.D CTC.NN.D
	 PNT.NN.D PAH.NN.D RUB.NN.D EMB.NN.D
	 YER.NN.D


              -----------------                             
          -------------------------                         
        ##---------------------------                       
      ########-----------------------##                     
     ############----------------########                   
    ###############-----------############                  
  -##################-------###############                 
  #####################--##################                 
 ###########################################                
 ###########################################                
  ####################----###################               
T ##################-------##################               
  ################----------#################               
 ###############--------------###############               
 ##############----------------#############                
 ############-------------------############                
  ##########---------------------##########                 
   ########-----------------------#########                 
   ######--------------------------#######                  
     ####--------------------------######                   
      ##----------------------------###                     
        ----------------------------#                       
          --------   -------------                          
              ---- P ----------                             
                                                            


All Stations defining and nondefining: 
Station.Net 	Def 	Distance 	Azi    	Bazi  	lo-f 	hi-f vmodel
            	    	(km)     	(deg)  	(deg) 	(Hz) 	(Hz)    
WDEM.NN (D) 	Y 	    16.4  	354  	174  	0.020 	0.080 WDEM.NN.wus.glib
VCN.NN (D) 	Y 	    19.0  	141  	321  	0.020 	0.080 VCN.NN.wus.glib
MPK.NN (D) 	Y 	    26.8  	234  	 54  	0.020 	0.080 MPK.NN.wus.glib
CTC.NN (D) 	Y 	    38.4  	230  	 50  	0.020 	0.080 CTC.NN.wus.glib
PNT.NN (D) 	Y 	    41.4  	157  	337  	0.020 	0.080 PNT.NN.wus.glib
PAH.NN (D) 	Y 	    45.9  	 48  	228  	0.020 	0.080 PAH.NN.wus.glib
RUB.NN (D) 	Y 	    52.7  	216  	 36  	0.020 	0.080 RUB.NN.wus.glib
EMB.NN (D) 	Y 	    58.0  	208  	 27  	0.020 	0.080 EMB.NN.wus.glib
YER.NN (D) 	Y 	    68.2  	136  	316  	0.020 	0.080 YER.NN.wus.glib
RYN.NN (D) 	N 	   141.3  	129  	310  	0.020 	0.080 RYN.NN.wus.glib
ORV.BK (D) 	N 	   147.3  	276  	 95  	0.020 	0.080 ORV.BK.wus.glib
KVN.NN (D) 	N 	   151.4  	106  	287  	0.020 	0.080 KVN.NN.wus.glib
CMB.BK (D) 	N 	   164.4  	199  	 18  	0.020 	0.080 CMB.BK.wus.glib

 (V)-velocity (D)-Displacement

Author: rt
Date: 2016/01/13 18:39:07 UTC

Date: 2016/01/13 10:39:07 PST

mtinv Version 3.0.3 Thu Apr 17 11:01:57 EDT 2014


Solution Name: T039.0sec_Z010.0km_
Event ID: 523675
Origin ID: 1377612
Date: 2015/12/23,06:22:36
Seismic Moment Tensor Solution

2015/12/23 (357) 06:22:39.00 39.4332 -119.7886 1377612
	Depth =  10.0 (km)
	Mw    =  3.43
	Mo    =  1.72x10^21 (dyne x cm)

	Percent Double Couple =  97 %
	Percent CLVD          =   3 %
	no ISO calculated
	Epsilon=0.02
	 Percent Variance Reduction =   6.86 %
	 Total Fit                  =  1.61 
	Major Double Couple
		            strike dip   rake
		Nodal Plane 1: 323  75 -168
		Nodal Plane 2: 230  79  -15

	DEVIATORIC MOMENT TENSOR

	Moment Tensor Elements: Spherical Coordinates
		Mrr= -0.20 Mtt= -1.50 Mff=  1.70
		Mrt=  0.51 Mrf=  0.02 Mtf=  0.34 EXP=21


	Moment Tensor Elements: Cartesian Coordinates
		-1.50 -0.34  0.51
		-0.34  1.70 -0.02
		 0.51 -0.02 -0.20

	Eigenvalues:
		T-axis eigenvalue=  1.74
		N-axis eigenvalue= -0.03
		P-axis eigenvalue= -1.71

	Eigenvalues and eigenvectors of the Major Double Couple:
		T-axis ev= 1.74 trend=276 plunge=2
		N-axis ev= 0.00 trend=13 plunge=71
		P-axis ev=-1.74 trend=186 plunge=19

	Maximum Azmuithal Gap=120 Distance to Nearest Station= 16.4 (km)

	Number of Stations (D=Displacement/V=Velocity) Used=9 (defining only)
		
	 WDEM.NN.D VCN.NN.D MPK.NN.D CTC.NN.D
	 PNT.NN.D PAH.NN.D RUB.NN.D EMB.NN.D
	 YER.NN.D


              -----------------                             
          -------------------------                         
        ###--------------------------                       
      ########-------------------------                     
     ###########-------------------######                   
    ##############--------------##########                  
  -#################---------##############                 
  ####################----#################                 
 ###########################################                
  ##########################################                
T ####################--#####################               
  ##################------###################               
 #################---------##################               
 ###############------------#################               
 #############----------------##############                
 ############------------------#############                
  #########---------------------###########                 
   #######-----------------------##########                 
   #####-------------------------#########                  
     ##---------------------------#######                   
      -----------------------------####                     
        ---------------------------##                       
          -------   --------------                          
              --- P -----------                             
                                                            


All Stations defining and nondefining: 
Station.Net 	Def 	Distance 	Azi    	Bazi  	lo-f 	hi-f vmodel
            	    	(km)     	(deg)  	(deg) 	(Hz) 	(Hz)    
WDEM.NN (D) 	Y 	    16.4  	354  	174  	0.020 	0.080 WDEM.NN.wus.glib
VCN.NN (D) 	Y 	    19.0  	141  	321  	0.020 	0.080 VCN.NN.wus.glib
MPK.NN (D) 	Y 	    26.8  	234  	 54  	0.020 	0.080 MPK.NN.wus.glib
CTC.NN (D) 	Y 	    38.4  	230  	 50  	0.020 	0.080 CTC.NN.wus.glib
PNT.NN (D) 	Y 	    41.4  	157  	337  	0.020 	0.080 PNT.NN.wus.glib
PAH.NN (D) 	Y 	    45.9  	 48  	228  	0.020 	0.080 PAH.NN.wus.glib
RUB.NN (D) 	Y 	    52.7  	216  	 36  	0.020 	0.080 RUB.NN.wus.glib
EMB.NN (D) 	Y 	    58.0  	208  	 27  	0.020 	0.080 EMB.NN.wus.glib
YER.NN (D) 	Y 	    68.2  	136  	316  	0.020 	0.080 YER.NN.wus.glib
RYN.NN (D) 	N 	   141.3  	129  	310  	0.020 	0.080 RYN.NN.wus.glib
ORV.BK (D) 	N 	   147.3  	276  	 95  	0.020 	0.080 ORV.BK.wus.glib
KVN.NN (D) 	N 	   151.4  	106  	287  	0.020 	0.080 KVN.NN.wus.glib
CMB.BK (D) 	N 	   164.4  	199  	 18  	0.020 	0.080 CMB.BK.wus.glib

 (V)-velocity (D)-Displacement

Author: rt
Date: 2016/01/13 18:39:07 UTC

Date: 2016/01/13 10:39:07 PST

mtinv Version 3.0.3 Thu Apr 17 11:01:57 EDT 2014


Event ID: 523675
Origin ID: 1377612
Date: 2015/12/23,06:22:36
Filename: plotz.jpg

Event ID: 523675
Origin ID: 1377612
Date: 2015/12/23,06:22:36
Filename: results.5.jpg