Event ID: mw
Origin ID: 001
Date:
Filename: gmtmap.jpg

Solution Name: T039.0sec_Z006.0km_
Event ID: mw
Origin ID: 001
Date:
Seismic Moment Tensor Solution

2021/07/08 (189) 22:49:39.00 38.5105 -119.4950 001
	Depth =   6.0 (km)
	Mw    =  5.07
	Mo    =  5.07x10^23 (dyne x cm)

	Percent Double Couple =  90 %
	Percent CLVD          =  10 %
	no ISO calculated
	Epsilon=-0.05
	 Percent Variance Reduction =   0.45 %
	 Total Fit                  =  0.04 
	Major Double Couple
		            strike dip   rake
		Nodal Plane 1: 115  40   29
		Nodal Plane 2:   2  72  126

	DEVIATORIC MOMENT TENSOR

	Moment Tensor Elements: Spherical Coordinates
		Mrr=  2.34 Mtt=  0.35 Mff= -2.69
		Mrt=  0.86 Mrf=  3.14 Mtf=  2.72 EXP=23


	Moment Tensor Elements: Cartesian Coordinates
		 0.35 -2.72  0.86
		-2.72 -2.69 -3.14
		 0.86 -3.14  2.34

	Eigenvalues:
		T-axis eigenvalue=  4.81
		N-axis eigenvalue=  0.26
		P-axis eigenvalue= -5.07

	Eigenvalues and eigenvectors of the Major Double Couple:
		T-axis ev= 4.81 trend=313 plunge=50
		N-axis ev= 0.00 trend=170 plunge=34
		P-axis ev=-4.81 trend=66 plunge=19

	Maximum Azmuithal Gap=96 Distance to Nearest Station= 43.3 (km)

	Number of Stations (D=Displacement/V=Velocity) Used=15 (defining only)
		
	 BFC.NN.D PNT.NN.D TBRD.NN.D WASH.NN.D
	 CMB.BK.D MPK.NN.D REDF.NN.D WDEM.NN.D
	 KVN.NN.D MCM05.NN.D CMK6.NN.D MCA04.GS.D
	 BEK.NN.D TIN.CI.D Q09A.NN.D


              ###########------                             
          ###############----------                         
        ##################-----------                       
      #####################------------                     
     ######################-------------                    
    #####   ###############--------------                   
  -###### T ################----------   --                 
  -######   ################---------- P --                 
 --#########################----------   ---                
 --#########################----------------                
 --#########################----------------                
 ---########################----------------                
 ----#######################----------------                
 -----######################----------------                
 ------#####################----------------                
 -------###################-----------------                
  --------#################----------------                 
   ---------###############-------------###                 
   ------------###########-----------#####                  
     --------------######################                   
      ------------------###############                     
        ---------------##############                       
          ------------#############                         
              -------###########                            
                      #                                     


All Stations defining and nondefining: 
Station.Net 	Def 	Distance 	Azi    	Bazi  	lo-f 	hi-f vmodel
            	    	(km)     	(deg)  	(deg) 	(Hz) 	(Hz)    
BFC.NN (D) 	Y 	    43.3  	347  	167  	0.020 	0.100 BFC.NN.wus.glib
PNT.NN (D) 	Y 	    65.0  	352  	172  	0.020 	0.100 PNT.NN.wus.glib
TBRD.NN (D) 	Y 	    82.4  	333  	153  	0.020 	0.100 TBRD.NN.wus.glib
WASH.NN (D) 	Y 	    94.3  	345  	165  	0.020 	0.100 WASH.NN.wus.glib
CMB.BK (D) 	Y 	    94.6  	236  	 55  	0.020 	0.100 CMB.BK.wus.glib
MPK.NN (D) 	Y 	    98.6  	332  	151  	0.020 	0.100 MPK.NN.wus.glib
REDF.NN (D) 	Y 	   100.4  	347  	167  	0.020 	0.080 REDF.NN.wus.glib
WDEM.NN (D) 	Y 	   121.9  	347  	167  	0.020 	0.080 WDEM.NN.wus.glib
KVN.NN (D) 	Y 	   134.9  	 63  	244  	0.020 	0.080 KVN.NN.wus.glib
MCM05.NN (D) 	Y 	   146.9  	105  	286  	0.020 	0.080 MCM05.NN.wus.glib
CMK6.NN (D) 	Y 	   148.4  	 53  	234  	0.020 	0.080 CMK6.NN.wus.glib
MCA04.GS (D) 	Y 	   162.8  	107  	288  	0.020 	0.080 MCA04.GS.wus.glib
BEK.NN (D) 	Y 	   168.4  	334  	153  	0.020 	0.080 BEK.NN.wus.glib
TIN.CI (D) 	Y 	   196.7  	145  	326  	0.020 	0.080 TIN.CI.wus.glib
Q09A.NN (D) 	Y 	   203.9  	 79  	261  	0.020 	0.080 Q09A.NN.wus.glib

 (V)-velocity (D)-Displacement

Author: www-data
Date: 2021/07/09 00:06:22 UTC

Date: 2021/07/08 17:06:22 PDT

mtinv Version 3.0.6 Thu Jan 11 16:00:25 PST 2018


Solution Name: T040.0sec_Z008.0km_
Event ID: mw
Origin ID: 001
Date:
Seismic Moment Tensor Solution

2021/07/08 (189) 22:49:40.00 38.5105 -119.4950 001
	Depth =   8.0 (km)
	Mw    =  5.25
	Mo    =  9.41x10^23 (dyne x cm)

	Percent Double Couple =  65 %
	Percent CLVD          =  35 %
	no ISO calculated
	Epsilon=-0.17
	 Percent Variance Reduction =   1.07 %
	 Total Fit                  =  0.03 
	Major Double Couple
		            strike dip   rake
		Nodal Plane 1: 165  35   83
		Nodal Plane 2: 354  56   95

	DEVIATORIC MOMENT TENSOR

	Moment Tensor Elements: Spherical Coordinates
		Mrr=  7.15 Mtt=  1.36 Mff= -8.50
		Mrt= -0.09 Mrf=  3.14 Mtf=  1.79 EXP=23


	Moment Tensor Elements: Cartesian Coordinates
		 1.36 -1.79 -0.09
		-1.79 -8.50 -3.14
		-0.09 -3.14  7.15

	Eigenvalues:
		T-axis eigenvalue=  7.76
		N-axis eigenvalue=  1.64
		P-axis eigenvalue= -9.41

	Eigenvalues and eigenvectors of the Major Double Couple:
		T-axis ev= 7.76 trend=282 plunge=79
		N-axis ev= 0.00 trend=171 plunge=4
		P-axis ev=-7.76 trend=80 plunge=11

	Maximum Azmuithal Gap=96 Distance to Nearest Station= 43.3 (km)

	Number of Stations (D=Displacement/V=Velocity) Used=15 (defining only)
		
	 BFC.NN.D PNT.NN.D TBRD.NN.D WASH.NN.D
	 CMB.BK.D MPK.NN.D REDF.NN.D WDEM.NN.D
	 KVN.NN.D MCM05.NN.D CMK6.NN.D MCA04.GS.D
	 BEK.NN.D TIN.CI.D Q09A.NN.D


              -########--------                             
          ---############----------                         
        ----##############-----------                       
      -----#################-----------                     
     -----###################-----------                    
    -----####################------------                   
  ------######################-------------                 
  ------#######################------------                 
 -------#######################-------------                
 -------########################--------   -                
 -------#######   ##############-------- P -                
 -------####### T ##############--------   -                
 -------#######   ##############------------                
 -------########################------------                
 -------########################------------                
 --------#######################------------                
  --------######################-----------                 
   --------#####################----------                  
   ---------###################-----------                  
     --------##################---------                    
      ---------###############---------                     
        --------#############--------                       
          ---------#########------                          
              ---------#####---                             
                                                            


All Stations defining and nondefining: 
Station.Net 	Def 	Distance 	Azi    	Bazi  	lo-f 	hi-f vmodel
            	    	(km)     	(deg)  	(deg) 	(Hz) 	(Hz)    
BFC.NN (D) 	Y 	    43.3  	347  	167  	0.020 	0.100 BFC.NN.wus.glib
PNT.NN (D) 	Y 	    65.0  	352  	172  	0.020 	0.100 PNT.NN.wus.glib
TBRD.NN (D) 	Y 	    82.4  	333  	153  	0.020 	0.100 TBRD.NN.wus.glib
WASH.NN (D) 	Y 	    94.3  	345  	165  	0.020 	0.100 WASH.NN.wus.glib
CMB.BK (D) 	Y 	    94.6  	236  	 55  	0.020 	0.100 CMB.BK.wus.glib
MPK.NN (D) 	Y 	    98.6  	332  	151  	0.020 	0.100 MPK.NN.wus.glib
REDF.NN (D) 	Y 	   100.4  	347  	167  	0.020 	0.080 REDF.NN.wus.glib
WDEM.NN (D) 	Y 	   121.9  	347  	167  	0.020 	0.080 WDEM.NN.wus.glib
KVN.NN (D) 	Y 	   134.9  	 63  	244  	0.020 	0.080 KVN.NN.wus.glib
MCM05.NN (D) 	Y 	   146.9  	105  	286  	0.020 	0.080 MCM05.NN.wus.glib
CMK6.NN (D) 	Y 	   148.4  	 53  	234  	0.020 	0.080 CMK6.NN.wus.glib
MCA04.GS (D) 	Y 	   162.8  	107  	288  	0.020 	0.080 MCA04.GS.wus.glib
BEK.NN (D) 	Y 	   168.4  	334  	153  	0.020 	0.080 BEK.NN.wus.glib
TIN.CI (D) 	Y 	   196.7  	145  	326  	0.020 	0.080 TIN.CI.wus.glib
Q09A.NN (D) 	Y 	   203.9  	 79  	261  	0.020 	0.080 Q09A.NN.wus.glib

 (V)-velocity (D)-Displacement

Author: www-data
Date: 2021/07/09 00:06:20 UTC

Date: 2021/07/08 17:06:20 PDT

mtinv Version 3.0.6 Thu Jan 11 16:00:25 PST 2018


Solution Name: T041.0sec_Z008.0km_
Event ID: mw
Origin ID: 001
Date:
Seismic Moment Tensor Solution

2021/07/08 (189) 22:49:41.00 38.5105 -119.4950 001
	Depth =   8.0 (km)
	Mw    =  5.41
	Mo    =  1.64x10^24 (dyne x cm)

	Percent Double Couple =  77 %
	Percent CLVD          =  23 %
	no ISO calculated
	Epsilon=-0.12
	 Percent Variance Reduction =   4.01 %
	 Total Fit                  =  0.17 
	Major Double Couple
		            strike dip   rake
		Nodal Plane 1: 181  38   96
		Nodal Plane 2: 354  52   85

	DEVIATORIC MOMENT TENSOR

	Moment Tensor Elements: Spherical Coordinates
		Mrr=  1.40 Mtt=  0.19 Mff= -1.59
		Mrt= -0.10 Mrf=  0.36 Mtf=  0.08 EXP=24


	Moment Tensor Elements: Cartesian Coordinates
		 0.19 -0.08 -0.10
		-0.08 -1.59 -0.36
		-0.10 -0.36  1.40

	Eigenvalues:
		T-axis eigenvalue=  1.45
		N-axis eigenvalue=  0.19
		P-axis eigenvalue= -1.64

	Eigenvalues and eigenvectors of the Major Double Couple:
		T-axis ev= 1.45 trend=238 plunge=82
		N-axis ev= 0.00 trend=357 plunge=4
		P-axis ev=-1.45 trend=87 plunge=7

	Maximum Azmuithal Gap=96 Distance to Nearest Station= 43.3 (km)

	Number of Stations (D=Displacement/V=Velocity) Used=15 (defining only)
		
	 BFC.NN.D PNT.NN.D TBRD.NN.D WASH.NN.D
	 CMB.BK.D MPK.NN.D REDF.NN.D WDEM.NN.D
	 KVN.NN.D MCM05.NN.D CMK6.NN.D MCA04.GS.D
	 BEK.NN.D TIN.CI.D Q09A.NN.D


              -----####--------                             
          -------########----------                         
        -------############----------                       
      -------###############-----------                     
     -------#################-----------                    
    -------###################-----------                   
  ---------####################------------                 
  --------######################-----------                 
 ---------######################------------                
 --------########################-----------                
 --------########################-------   -                
 --------########   #############------- P -                
 --------######## T #############-------   -                
 --------########   #############-----------                
 --------########################-----------                
 --------########################-----------                
  --------#######################----------                 
   -------######################----------                  
   --------#####################----------                  
     -------###################---------                    
      -------##################--------                     
        -------###############-------                       
          ------############------                          
              -----########----                             
                      #                                     


All Stations defining and nondefining: 
Station.Net 	Def 	Distance 	Azi    	Bazi  	lo-f 	hi-f vmodel
            	    	(km)     	(deg)  	(deg) 	(Hz) 	(Hz)    
BFC.NN (D) 	Y 	    43.3  	347  	167  	0.020 	0.100 BFC.NN.wus.glib
PNT.NN (D) 	Y 	    65.0  	352  	172  	0.020 	0.100 PNT.NN.wus.glib
TBRD.NN (D) 	Y 	    82.4  	333  	153  	0.020 	0.100 TBRD.NN.wus.glib
WASH.NN (D) 	Y 	    94.3  	345  	165  	0.020 	0.100 WASH.NN.wus.glib
CMB.BK (D) 	Y 	    94.6  	236  	 55  	0.020 	0.100 CMB.BK.wus.glib
MPK.NN (D) 	Y 	    98.6  	332  	151  	0.020 	0.100 MPK.NN.wus.glib
REDF.NN (D) 	Y 	   100.4  	347  	167  	0.020 	0.080 REDF.NN.wus.glib
WDEM.NN (D) 	Y 	   121.9  	347  	167  	0.020 	0.080 WDEM.NN.wus.glib
KVN.NN (D) 	Y 	   134.9  	 63  	244  	0.020 	0.080 KVN.NN.wus.glib
MCM05.NN (D) 	Y 	   146.9  	105  	286  	0.020 	0.080 MCM05.NN.wus.glib
CMK6.NN (D) 	Y 	   148.4  	 53  	234  	0.020 	0.080 CMK6.NN.wus.glib
MCA04.GS (D) 	Y 	   162.8  	107  	288  	0.020 	0.080 MCA04.GS.wus.glib
BEK.NN (D) 	Y 	   168.4  	334  	153  	0.020 	0.080 BEK.NN.wus.glib
TIN.CI (D) 	Y 	   196.7  	145  	326  	0.020 	0.080 TIN.CI.wus.glib
Q09A.NN (D) 	Y 	   203.9  	 79  	261  	0.020 	0.080 Q09A.NN.wus.glib

 (V)-velocity (D)-Displacement

Author: www-data
Date: 2021/07/09 00:06:18 UTC

Date: 2021/07/08 17:06:18 PDT

mtinv Version 3.0.6 Thu Jan 11 16:00:25 PST 2018


Solution Name: T042.0sec_Z008.0km_
Event ID: mw
Origin ID: 001
Date:
Seismic Moment Tensor Solution

2021/07/08 (189) 22:49:42.00 38.5105 -119.4950 001
	Depth =   8.0 (km)
	Mw    =  5.54
	Mo    =  2.51x10^24 (dyne x cm)

	Percent Double Couple =  80 %
	Percent CLVD          =  20 %
	no ISO calculated
	Epsilon=-0.10
	 Percent Variance Reduction =  10.90 %
	 Total Fit                  =  0.53 
	Major Double Couple
		            strike dip   rake
		Nodal Plane 1: 188  41  100
		Nodal Plane 2: 355  49   82

	DEVIATORIC MOMENT TENSOR

	Moment Tensor Elements: Spherical Coordinates
		Mrr=  2.21 Mtt=  0.27 Mff= -2.48
		Mrt= -0.21 Mrf=  0.33 Mtf= -0.08 EXP=24


	Moment Tensor Elements: Cartesian Coordinates
		 0.27  0.08 -0.21
		 0.08 -2.48 -0.33
		-0.21 -0.33  2.21

	Eigenvalues:
		T-axis eigenvalue=  2.26
		N-axis eigenvalue=  0.25
		P-axis eigenvalue= -2.51

	Eigenvalues and eigenvectors of the Major Double Couple:
		T-axis ev= 2.26 trend=213 plunge=83
		N-axis ev= 0.00 trend=1 plunge=6
		P-axis ev=-2.26 trend=91 plunge=4

	Maximum Azmuithal Gap=96 Distance to Nearest Station= 43.3 (km)

	Number of Stations (D=Displacement/V=Velocity) Used=15 (defining only)
		
	 BFC.NN.D PNT.NN.D TBRD.NN.D WASH.NN.D
	 CMB.BK.D MPK.NN.D REDF.NN.D WDEM.NN.D
	 KVN.NN.D MCM05.NN.D CMK6.NN.D MCA04.GS.D
	 BEK.NN.D TIN.CI.D Q09A.NN.D


              -------#####-----                             
          ---------#######---------                         
        ---------###########---------                       
      ---------##############----------                     
     ---------################----------                    
    ---------##################----------                   
  ----------####################-----------                 
  ---------#####################-----------                 
 ----------######################-----------                
 ---------#######################-----------                
 ---------########################----------                
 ---------########################------   -                
 --------#########   #############------ P -                
 --------######### T #############------   -                
 --------#########   #############----------                
 ---------########################----------                
  --------#######################----------                 
   -------#######################---------                  
   --------#####################----------                  
     -------####################--------                    
      -------##################--------                     
        ------################-------                       
          -----#############------                          
              ---##########----                             
                      #                                     


All Stations defining and nondefining: 
Station.Net 	Def 	Distance 	Azi    	Bazi  	lo-f 	hi-f vmodel
            	    	(km)     	(deg)  	(deg) 	(Hz) 	(Hz)    
BFC.NN (D) 	Y 	    43.3  	347  	167  	0.020 	0.100 BFC.NN.wus.glib
PNT.NN (D) 	Y 	    65.0  	352  	172  	0.020 	0.100 PNT.NN.wus.glib
TBRD.NN (D) 	Y 	    82.4  	333  	153  	0.020 	0.100 TBRD.NN.wus.glib
WASH.NN (D) 	Y 	    94.3  	345  	165  	0.020 	0.100 WASH.NN.wus.glib
CMB.BK (D) 	Y 	    94.6  	236  	 55  	0.020 	0.100 CMB.BK.wus.glib
MPK.NN (D) 	Y 	    98.6  	332  	151  	0.020 	0.100 MPK.NN.wus.glib
REDF.NN (D) 	Y 	   100.4  	347  	167  	0.020 	0.080 REDF.NN.wus.glib
WDEM.NN (D) 	Y 	   121.9  	347  	167  	0.020 	0.080 WDEM.NN.wus.glib
KVN.NN (D) 	Y 	   134.9  	 63  	244  	0.020 	0.080 KVN.NN.wus.glib
MCM05.NN (D) 	Y 	   146.9  	105  	286  	0.020 	0.080 MCM05.NN.wus.glib
CMK6.NN (D) 	Y 	   148.4  	 53  	234  	0.020 	0.080 CMK6.NN.wus.glib
MCA04.GS (D) 	Y 	   162.8  	107  	288  	0.020 	0.080 MCA04.GS.wus.glib
BEK.NN (D) 	Y 	   168.4  	334  	153  	0.020 	0.080 BEK.NN.wus.glib
TIN.CI (D) 	Y 	   196.7  	145  	326  	0.020 	0.080 TIN.CI.wus.glib
Q09A.NN (D) 	Y 	   203.9  	 79  	261  	0.020 	0.080 Q09A.NN.wus.glib

 (V)-velocity (D)-Displacement

Author: www-data
Date: 2021/07/09 00:06:16 UTC

Date: 2021/07/08 17:06:16 PDT

mtinv Version 3.0.6 Thu Jan 11 16:00:25 PST 2018


Solution Name: T043.0sec_Z008.0km_
Event ID: mw
Origin ID: 001
Date:
Seismic Moment Tensor Solution

2021/07/08 (189) 22:49:43.00 38.5105 -119.4950 001
	Depth =   8.0 (km)
	Mw    =  5.61
	Mo    =  3.23x10^24 (dyne x cm)

	Percent Double Couple =  79 %
	Percent CLVD          =  21 %
	no ISO calculated
	Epsilon=-0.10
	 Percent Variance Reduction =  20.14 %
	 Total Fit                  =  0.94 
	Major Double Couple
		            strike dip   rake
		Nodal Plane 1: 192  44  100
		Nodal Plane 2: 357  46   80

	DEVIATORIC MOMENT TENSOR

	Moment Tensor Elements: Spherical Coordinates
		Mrr=  2.86 Mtt=  0.35 Mff= -3.21
		Mrt= -0.31 Mrf=  0.13 Mtf= -0.28 EXP=24


	Moment Tensor Elements: Cartesian Coordinates
		 0.35  0.28 -0.31
		 0.28 -3.21 -0.13
		-0.31 -0.13  2.86

	Eigenvalues:
		T-axis eigenvalue=  2.90
		N-axis eigenvalue=  0.33
		P-axis eigenvalue= -3.23

	Eigenvalues and eigenvectors of the Major Double Couple:
		T-axis ev= 2.90 trend=192 plunge=83
		N-axis ev= 0.00 trend=4 plunge=7
		P-axis ev=-2.90 trend=94 plunge=1

	Maximum Azmuithal Gap=96 Distance to Nearest Station= 43.3 (km)

	Number of Stations (D=Displacement/V=Velocity) Used=15 (defining only)
		
	 BFC.NN.D PNT.NN.D TBRD.NN.D WASH.NN.D
	 CMB.BK.D MPK.NN.D REDF.NN.D WDEM.NN.D
	 KVN.NN.D MCM05.NN.D CMK6.NN.D MCA04.GS.D
	 BEK.NN.D TIN.CI.D Q09A.NN.D


              -------######----                             
          ----------#######--------                         
        ----------##########---------                       
      ----------##############---------                     
     ----------################---------                    
    ----------##################---------                   
  -----------####################----------                 
  ----------#####################----------                 
 ----------#######################----------                
 ----------#######################----------                
 ----------#######################----------                
 ---------########################------   -                
 ---------########   #############------ P -                
 ---------######## T #############------   -                
 ---------########   #############----------                
 ---------########################----------                
  --------########################---------                 
   --------######################---------                  
   --------######################---------                  
     -------####################--------                    
      -------##################--------                     
        -----#################-------                       
          -----#############------                          
              --##########-----                             
                      #                                     


All Stations defining and nondefining: 
Station.Net 	Def 	Distance 	Azi    	Bazi  	lo-f 	hi-f vmodel
            	    	(km)     	(deg)  	(deg) 	(Hz) 	(Hz)    
BFC.NN (D) 	Y 	    43.3  	347  	167  	0.020 	0.100 BFC.NN.wus.glib
PNT.NN (D) 	Y 	    65.0  	352  	172  	0.020 	0.100 PNT.NN.wus.glib
TBRD.NN (D) 	Y 	    82.4  	333  	153  	0.020 	0.100 TBRD.NN.wus.glib
WASH.NN (D) 	Y 	    94.3  	345  	165  	0.020 	0.100 WASH.NN.wus.glib
CMB.BK (D) 	Y 	    94.6  	236  	 55  	0.020 	0.100 CMB.BK.wus.glib
MPK.NN (D) 	Y 	    98.6  	332  	151  	0.020 	0.100 MPK.NN.wus.glib
REDF.NN (D) 	Y 	   100.4  	347  	167  	0.020 	0.080 REDF.NN.wus.glib
WDEM.NN (D) 	Y 	   121.9  	347  	167  	0.020 	0.080 WDEM.NN.wus.glib
KVN.NN (D) 	Y 	   134.9  	 63  	244  	0.020 	0.080 KVN.NN.wus.glib
MCM05.NN (D) 	Y 	   146.9  	105  	286  	0.020 	0.080 MCM05.NN.wus.glib
CMK6.NN (D) 	Y 	   148.4  	 53  	234  	0.020 	0.080 CMK6.NN.wus.glib
MCA04.GS (D) 	Y 	   162.8  	107  	288  	0.020 	0.080 MCA04.GS.wus.glib
BEK.NN (D) 	Y 	   168.4  	334  	153  	0.020 	0.080 BEK.NN.wus.glib
TIN.CI (D) 	Y 	   196.7  	145  	326  	0.020 	0.080 TIN.CI.wus.glib
Q09A.NN (D) 	Y 	   203.9  	 79  	261  	0.020 	0.080 Q09A.NN.wus.glib

 (V)-velocity (D)-Displacement

Author: www-data
Date: 2021/07/09 00:06:14 UTC

Date: 2021/07/08 17:06:14 PDT

mtinv Version 3.0.6 Thu Jan 11 16:00:25 PST 2018


Solution Name: T044.0sec_Z002.0km_
Event ID: mw
Origin ID: 001
Date:
Seismic Moment Tensor Solution

2021/07/08 (189) 22:49:44.00 38.5105 -119.4950 001
	Depth =   2.0 (km)
	Mw    =  5.41
	Mo    =  1.64x10^24 (dyne x cm)

	Percent Double Couple =  99 %
	Percent CLVD          =   1 %
	no ISO calculated
	Epsilon=-0.01
	 Percent Variance Reduction =  17.92 %
	 Total Fit                  =  7.70 
	Major Double Couple
		            strike dip   rake
		Nodal Plane 1: 234  51  164
		Nodal Plane 2: 334  78   40

	DEVIATORIC MOMENT TENSOR

	Moment Tensor Elements: Spherical Coordinates
		Mrr=  0.44 Mtt=  0.89 Mff= -1.32
		Mrt= -0.65 Mrf=  0.74 Mtf= -0.57 EXP=24


	Moment Tensor Elements: Cartesian Coordinates
		 0.89  0.57 -0.65
		 0.57 -1.32 -0.74
		-0.65 -0.74  0.44

	Eigenvalues:
		T-axis eigenvalue=  1.63
		N-axis eigenvalue=  0.01
		P-axis eigenvalue= -1.64

	Eigenvalues and eigenvectors of the Major Double Couple:
		T-axis ev= 1.63 trend=201 plunge=36
		N-axis ev= 0.00 trend=348 plunge=48
		P-axis ev=-1.63 trend=98 plunge=17

	Maximum Azmuithal Gap=96 Distance to Nearest Station= 43.3 (km)

	Number of Stations (D=Displacement/V=Velocity) Used=15 (defining only)
		
	 BFC.NN.D PNT.NN.D TBRD.NN.D WASH.NN.D
	 CMB.BK.D MPK.NN.D REDF.NN.D WDEM.NN.D
	 KVN.NN.D MCM05.NN.D CMK6.NN.D MCA04.GS.D
	 BEK.NN.D TIN.CI.D Q09A.NN.D


              ##################                            
          ---######################                         
        ------#######################                       
      ----------#######################                     
     ------------#######################                    
    ---------------######----------------                   
  ---------------#####---------------------                 
  -------------########--------------------                 
 ------------###########--------------------                
 ----------##############-------------------                
 ---------################------------------                
 -------###################-----------------                
 ------####################-------------   -                
 -----######################------------ P -                
 -----#######################-----------   -                
 ----#########################--------------                
  ---#########################-------------                 
   --##########################-----------                  
   --##########################-----------                  
     ########   ################--------                    
      ####### T ################-------                     
        #####   ################-----                       
          #######################-                          
              ##################                            
                      #                                     


All Stations defining and nondefining: 
Station.Net 	Def 	Distance 	Azi    	Bazi  	lo-f 	hi-f vmodel
            	    	(km)     	(deg)  	(deg) 	(Hz) 	(Hz)    
BFC.NN (D) 	Y 	    43.3  	347  	167  	0.020 	0.100 BFC.NN.wus.glib
PNT.NN (D) 	Y 	    65.0  	352  	172  	0.020 	0.100 PNT.NN.wus.glib
TBRD.NN (D) 	Y 	    82.4  	333  	153  	0.020 	0.100 TBRD.NN.wus.glib
WASH.NN (D) 	Y 	    94.3  	345  	165  	0.020 	0.100 WASH.NN.wus.glib
CMB.BK (D) 	Y 	    94.6  	236  	 55  	0.020 	0.100 CMB.BK.wus.glib
MPK.NN (D) 	Y 	    98.6  	332  	151  	0.020 	0.100 MPK.NN.wus.glib
REDF.NN (D) 	Y 	   100.4  	347  	167  	0.020 	0.080 REDF.NN.wus.glib
WDEM.NN (D) 	Y 	   121.9  	347  	167  	0.020 	0.080 WDEM.NN.wus.glib
KVN.NN (D) 	Y 	   134.9  	 63  	244  	0.020 	0.080 KVN.NN.wus.glib
MCM05.NN (D) 	Y 	   146.9  	105  	286  	0.020 	0.080 MCM05.NN.wus.glib
CMK6.NN (D) 	Y 	   148.4  	 53  	234  	0.020 	0.080 CMK6.NN.wus.glib
MCA04.GS (D) 	Y 	   162.8  	107  	288  	0.020 	0.080 MCA04.GS.wus.glib
BEK.NN (D) 	Y 	   168.4  	334  	153  	0.020 	0.080 BEK.NN.wus.glib
TIN.CI (D) 	Y 	   196.7  	145  	326  	0.020 	0.080 TIN.CI.wus.glib
Q09A.NN (D) 	Y 	   203.9  	 79  	261  	0.020 	0.080 Q09A.NN.wus.glib

 (V)-velocity (D)-Displacement

Author: www-data
Date: 2021/07/09 00:06:12 UTC

Date: 2021/07/08 17:06:12 PDT

mtinv Version 3.0.6 Thu Jan 11 16:00:25 PST 2018


Solution Name: T045.0sec_Z006.0km_
Event ID: mw
Origin ID: 001
Date:
Seismic Moment Tensor Solution

2021/07/08 (189) 22:49:45.00 38.5105 -119.4950 001
	Depth =   6.0 (km)
	Mw    =  5.60
	Mo    =  3.17x10^24 (dyne x cm)

	Percent Double Couple =  69 %
	Percent CLVD          =  31 %
	no ISO calculated
	Epsilon=-0.16
	 Percent Variance Reduction =  26.57 %
	 Total Fit                  =  0.82 
	Major Double Couple
		            strike dip   rake
		Nodal Plane 1: 358  39   71
		Nodal Plane 2: 202  54  105

	DEVIATORIC MOMENT TENSOR

	Moment Tensor Elements: Spherical Coordinates
		Mrr=  2.48 Mtt=  0.48 Mff= -2.96
		Mrt= -0.57 Mrf= -0.64 Mtf= -0.64 EXP=24


	Moment Tensor Elements: Cartesian Coordinates
		 0.48  0.64 -0.57
		 0.64 -2.96  0.64
		-0.57  0.64  2.48

	Eigenvalues:
		T-axis eigenvalue=  2.67
		N-axis eigenvalue=  0.50
		P-axis eigenvalue= -3.17

	Eigenvalues and eigenvectors of the Major Double Couple:
		T-axis ev= 2.67 trend=160 plunge=76
		N-axis ev= 0.00 trend=13 plunge=12
		P-axis ev=-2.67 trend=281 plunge=7

	Maximum Azmuithal Gap=96 Distance to Nearest Station= 43.3 (km)

	Number of Stations (D=Displacement/V=Velocity) Used=15 (defining only)
		
	 BFC.NN.D PNT.NN.D TBRD.NN.D WASH.NN.D
	 CMB.BK.D MPK.NN.D REDF.NN.D WDEM.NN.D
	 KVN.NN.D MCM05.NN.D CMK6.NN.D MCA04.GS.D
	 BEK.NN.D TIN.CI.D Q09A.NN.D


              -------##########                             
          ---------------####------                         
        ---------------#######-------                       
      --------------###########--------                     
     --------------#############--------                    
    -------------#################-------                   
  --------------##################---------                 
  -------------####################--------                 
  ------------######################--------                
P -----------#######################--------                
  -----------#######################--------                
 -----------########################--------                
 -----------########################--------                
 ----------###########   ###########--------                
 ----------########### T ###########--------                
 ----------###########   ###########--------                
  ---------########################--------                 
   --------########################-------                  
   --------#######################--------                  
     ------######################-------                    
      ------####################-------                     
        ----###################------                       
          ---################-----                          
              #############----                             
                      #                                     


All Stations defining and nondefining: 
Station.Net 	Def 	Distance 	Azi    	Bazi  	lo-f 	hi-f vmodel
            	    	(km)     	(deg)  	(deg) 	(Hz) 	(Hz)    
BFC.NN (D) 	Y 	    43.3  	347  	167  	0.020 	0.100 BFC.NN.wus.glib
PNT.NN (D) 	Y 	    65.0  	352  	172  	0.020 	0.100 PNT.NN.wus.glib
TBRD.NN (D) 	Y 	    82.4  	333  	153  	0.020 	0.100 TBRD.NN.wus.glib
WASH.NN (D) 	Y 	    94.3  	345  	165  	0.020 	0.100 WASH.NN.wus.glib
CMB.BK (D) 	Y 	    94.6  	236  	 55  	0.020 	0.100 CMB.BK.wus.glib
MPK.NN (D) 	Y 	    98.6  	332  	151  	0.020 	0.100 MPK.NN.wus.glib
REDF.NN (D) 	Y 	   100.4  	347  	167  	0.020 	0.080 REDF.NN.wus.glib
WDEM.NN (D) 	Y 	   121.9  	347  	167  	0.020 	0.080 WDEM.NN.wus.glib
KVN.NN (D) 	Y 	   134.9  	 63  	244  	0.020 	0.080 KVN.NN.wus.glib
MCM05.NN (D) 	Y 	   146.9  	105  	286  	0.020 	0.080 MCM05.NN.wus.glib
CMK6.NN (D) 	Y 	   148.4  	 53  	234  	0.020 	0.080 CMK6.NN.wus.glib
MCA04.GS (D) 	Y 	   162.8  	107  	288  	0.020 	0.080 MCA04.GS.wus.glib
BEK.NN (D) 	Y 	   168.4  	334  	153  	0.020 	0.080 BEK.NN.wus.glib
TIN.CI (D) 	Y 	   196.7  	145  	326  	0.020 	0.080 TIN.CI.wus.glib
Q09A.NN (D) 	Y 	   203.9  	 79  	261  	0.020 	0.080 Q09A.NN.wus.glib

 (V)-velocity (D)-Displacement

Author: www-data
Date: 2021/07/09 00:06:10 UTC

Date: 2021/07/08 17:06:10 PDT

mtinv Version 3.0.6 Thu Jan 11 16:00:25 PST 2018


Solution Name: T046.0sec_Z006.0km_
Event ID: mw
Origin ID: 001
Date:
Seismic Moment Tensor Solution

2021/07/08 (189) 22:49:46.00 38.5105 -119.4950 001
	Depth =   6.0 (km)
	Mw    =  5.59
	Mo    =  2.99x10^24 (dyne x cm)

	Percent Double Couple =  63 %
	Percent CLVD          =  37 %
	no ISO calculated
	Epsilon=-0.19
	 Percent Variance Reduction =  21.65 %
	 Total Fit                  =  0.56 
	Major Double Couple
		            strike dip   rake
		Nodal Plane 1:  11  28   86
		Nodal Plane 2: 196  62   92

	DEVIATORIC MOMENT TENSOR

	Moment Tensor Elements: Spherical Coordinates
		Mrr=  1.97 Mtt=  0.39 Mff= -2.35
		Mrt= -0.43 Mrf= -1.46 Mtf= -0.71 EXP=24


	Moment Tensor Elements: Cartesian Coordinates
		 0.39  0.71 -0.43
		 0.71 -2.35  1.46
		-0.43  1.46  1.97

	Eigenvalues:
		T-axis eigenvalue=  2.44
		N-axis eigenvalue=  0.56
		P-axis eigenvalue= -2.99

	Eigenvalues and eigenvectors of the Major Double Couple:
		T-axis ev= 2.44 trend=110 plunge=73
		N-axis ev= 0.00 trend=15 plunge=2
		P-axis ev=-2.44 trend=284 plunge=17

	Maximum Azmuithal Gap=96 Distance to Nearest Station= 43.3 (km)

	Number of Stations (D=Displacement/V=Velocity) Used=15 (defining only)
		
	 BFC.NN.D PNT.NN.D TBRD.NN.D WASH.NN.D
	 CMB.BK.D MPK.NN.D REDF.NN.D WDEM.NN.D
	 KVN.NN.D MCM05.NN.D CMK6.NN.D MCA04.GS.D
	 BEK.NN.D TIN.CI.D Q09A.NN.D


              -------------###-                             
          --------------########---                         
        ---------------##########----                       
      ---------------##############----                     
     ---------------################----                    
    ---------------##################----                   
  ----------------####################-----                 
  ---------------#####################-----                 
  --------------#######################-----                
P --------------#######################-----                
  -------------########################-----                
 --------------########################-----                
 -------------############   ##########-----                
 -------------############ T ##########-----                
 -------------############   #########------                
 -------------########################------                
  -----------########################------                 
   ----------#######################------                  
   -----------#####################-------                  
     ---------####################------                    
      --------###################------                     
        -------################------                       
          -----#############------                          
              --########-------                             
                                                            


All Stations defining and nondefining: 
Station.Net 	Def 	Distance 	Azi    	Bazi  	lo-f 	hi-f vmodel
            	    	(km)     	(deg)  	(deg) 	(Hz) 	(Hz)    
BFC.NN (D) 	Y 	    43.3  	347  	167  	0.020 	0.100 BFC.NN.wus.glib
PNT.NN (D) 	Y 	    65.0  	352  	172  	0.020 	0.100 PNT.NN.wus.glib
TBRD.NN (D) 	Y 	    82.4  	333  	153  	0.020 	0.100 TBRD.NN.wus.glib
WASH.NN (D) 	Y 	    94.3  	345  	165  	0.020 	0.100 WASH.NN.wus.glib
CMB.BK (D) 	Y 	    94.6  	236  	 55  	0.020 	0.100 CMB.BK.wus.glib
MPK.NN (D) 	Y 	    98.6  	332  	151  	0.020 	0.100 MPK.NN.wus.glib
REDF.NN (D) 	Y 	   100.4  	347  	167  	0.020 	0.080 REDF.NN.wus.glib
WDEM.NN (D) 	Y 	   121.9  	347  	167  	0.020 	0.080 WDEM.NN.wus.glib
KVN.NN (D) 	Y 	   134.9  	 63  	244  	0.020 	0.080 KVN.NN.wus.glib
MCM05.NN (D) 	Y 	   146.9  	105  	286  	0.020 	0.080 MCM05.NN.wus.glib
CMK6.NN (D) 	Y 	   148.4  	 53  	234  	0.020 	0.080 CMK6.NN.wus.glib
MCA04.GS (D) 	Y 	   162.8  	107  	288  	0.020 	0.080 MCA04.GS.wus.glib
BEK.NN (D) 	Y 	   168.4  	334  	153  	0.020 	0.080 BEK.NN.wus.glib
TIN.CI (D) 	Y 	   196.7  	145  	326  	0.020 	0.080 TIN.CI.wus.glib
Q09A.NN (D) 	Y 	   203.9  	 79  	261  	0.020 	0.080 Q09A.NN.wus.glib

 (V)-velocity (D)-Displacement

Author: www-data
Date: 2021/07/09 00:06:07 UTC

Date: 2021/07/08 17:06:07 PDT

mtinv Version 3.0.6 Thu Jan 11 16:00:25 PST 2018


Solution Name: T047.0sec_Z002.0km_
Event ID: mw
Origin ID: 001
Date:
Seismic Moment Tensor Solution

2021/07/08 (189) 22:49:47.00 38.5105 -119.4950 001
	Depth =   2.0 (km)
	Mw    =  5.56
	Mo    =  2.71x10^24 (dyne x cm)

	Percent Double Couple =  72 %
	Percent CLVD          =  28 %
	no ISO calculated
	Epsilon=-0.14
	 Percent Variance Reduction =  13.23 %
	 Total Fit                  =  0.46 
	Major Double Couple
		            strike dip   rake
		Nodal Plane 1:  63  17  153
		Nodal Plane 2: 179  82   75

	DEVIATORIC MOMENT TENSOR

	Moment Tensor Elements: Spherical Coordinates
		Mrr=  0.50 Mtt=  0.37 Mff= -0.86
		Mrt= -0.00 Mrf= -2.35 Mtf= -0.65 EXP=24


	Moment Tensor Elements: Cartesian Coordinates
		 0.37  0.65 -0.00
		 0.65 -0.86  2.35
		-0.00  2.35  0.50

	Eigenvalues:
		T-axis eigenvalue=  2.34
		N-axis eigenvalue=  0.38
		P-axis eigenvalue= -2.71

	Eigenvalues and eigenvectors of the Major Double Couple:
		T-axis ev= 2.34 trend=72 plunge=50
		N-axis ev= 0.00 trend=181 plunge=15
		P-axis ev=-2.34 trend=282 plunge=36

	Maximum Azmuithal Gap=96 Distance to Nearest Station= 43.3 (km)

	Number of Stations (D=Displacement/V=Velocity) Used=15 (defining only)
		
	 BFC.NN.D PNT.NN.D TBRD.NN.D WASH.NN.D
	 CMB.BK.D MPK.NN.D REDF.NN.D WDEM.NN.D
	 KVN.NN.D MCM05.NN.D CMK6.NN.D MCA04.GS.D
	 BEK.NN.D TIN.CI.D Q09A.NN.D


              -------###########                            
          -----------##############                         
        -------------################                       
      ---------------##################                     
     ---------------#####################                   
    ----------------######################                  
  ------------------#######################                 
  ------------------#######################                 
 -   ---------------#############   #######-                
 - P ---------------############# T #######-                
 -   ---------------#############   #######-                
 -------------------#######################-                
 -------------------#######################-                
 -------------------#######################-                
 -------------------######################--                
 -------------------#####################---                
  ------------------####################---                 
   #-----------------##################---                  
   ###---------------#################----                  
     ###-------------###############----                    
      #####----------#############-----                     
        #######-------#########------                       
          ###############---------                          
              #########--------                             
                      #                                     


All Stations defining and nondefining: 
Station.Net 	Def 	Distance 	Azi    	Bazi  	lo-f 	hi-f vmodel
            	    	(km)     	(deg)  	(deg) 	(Hz) 	(Hz)    
BFC.NN (D) 	Y 	    43.3  	347  	167  	0.020 	0.100 BFC.NN.wus.glib
PNT.NN (D) 	Y 	    65.0  	352  	172  	0.020 	0.100 PNT.NN.wus.glib
TBRD.NN (D) 	Y 	    82.4  	333  	153  	0.020 	0.100 TBRD.NN.wus.glib
WASH.NN (D) 	Y 	    94.3  	345  	165  	0.020 	0.100 WASH.NN.wus.glib
CMB.BK (D) 	Y 	    94.6  	236  	 55  	0.020 	0.100 CMB.BK.wus.glib
MPK.NN (D) 	Y 	    98.6  	332  	151  	0.020 	0.100 MPK.NN.wus.glib
REDF.NN (D) 	Y 	   100.4  	347  	167  	0.020 	0.080 REDF.NN.wus.glib
WDEM.NN (D) 	Y 	   121.9  	347  	167  	0.020 	0.080 WDEM.NN.wus.glib
KVN.NN (D) 	Y 	   134.9  	 63  	244  	0.020 	0.080 KVN.NN.wus.glib
MCM05.NN (D) 	Y 	   146.9  	105  	286  	0.020 	0.080 MCM05.NN.wus.glib
CMK6.NN (D) 	Y 	   148.4  	 53  	234  	0.020 	0.080 CMK6.NN.wus.glib
MCA04.GS (D) 	Y 	   162.8  	107  	288  	0.020 	0.080 MCA04.GS.wus.glib
BEK.NN (D) 	Y 	   168.4  	334  	153  	0.020 	0.080 BEK.NN.wus.glib
TIN.CI (D) 	Y 	   196.7  	145  	326  	0.020 	0.080 TIN.CI.wus.glib
Q09A.NN (D) 	Y 	   203.9  	 79  	261  	0.020 	0.080 Q09A.NN.wus.glib

 (V)-velocity (D)-Displacement

Author: www-data
Date: 2021/07/09 00:06:41 UTC

Date: 2021/07/08 17:06:41 PDT

mtinv Version 3.0.6 Thu Jan 11 16:00:25 PST 2018


Solution Name: T048.0sec_Z006.0km_
Event ID: mw
Origin ID: 001
Date:
Seismic Moment Tensor Solution

2021/07/08 (189) 22:49:48.00 38.5105 -119.4950 001
	Depth =   6.0 (km)
	Mw    =  5.54
	Mo    =  2.54x10^24 (dyne x cm)

	Percent Double Couple =  98 %
	Percent CLVD          =   2 %
	no ISO calculated
	Epsilon=-0.01
	 Percent Variance Reduction =   7.02 %
	 Total Fit                  =  2.13 
	Major Double Couple
		            strike dip   rake
		Nodal Plane 1:  82  12  174
		Nodal Plane 2: 178  89   78

	DEVIATORIC MOMENT TENSOR

	Moment Tensor Elements: Spherical Coordinates
		Mrr=  0.10 Mtt=  0.06 Mff= -0.16
		Mrt=  0.07 Mrf= -2.46 Mtf= -0.53 EXP=24


	Moment Tensor Elements: Cartesian Coordinates
		 0.06  0.53  0.07
		 0.53 -0.16  2.46
		 0.07  2.46  0.10

	Eigenvalues:
		T-axis eigenvalue=  2.51
		N-axis eigenvalue=  0.03
		P-axis eigenvalue= -2.54

	Eigenvalues and eigenvectors of the Major Double Couple:
		T-axis ev= 2.51 trend=76 plunge=45
		N-axis ev= 0.00 trend=179 plunge=12
		P-axis ev=-2.51 trend=280 plunge=42

	Maximum Azmuithal Gap=96 Distance to Nearest Station= 43.3 (km)

	Number of Stations (D=Displacement/V=Velocity) Used=15 (defining only)
		
	 BFC.NN.D PNT.NN.D TBRD.NN.D WASH.NN.D
	 CMB.BK.D MPK.NN.D REDF.NN.D WDEM.NN.D
	 KVN.NN.D MCM05.NN.D CMK6.NN.D MCA04.GS.D
	 BEK.NN.D TIN.CI.D Q09A.NN.D


              --------##########                            
          ------------#############                         
        -------------################                       
      ----------------#################                     
     -----------------###################                   
    ------------------####################                  
  --------------------#####################                 
  --------------------#####################                 
 ---------------------#############   ######                
 ---   ---------------############# T ######                
 --- P ---------------#############   ######                
 ---   ---------------######################                
 ---------------------######################                
 #--------------------######################                
 #--------------------######################                
 ##-------------------#####################-                
  ##------------------####################-                 
   ##-----------------###################-                  
   ####---------------##################--                  
     ####-------------################--                    
      #####-----------##############---                     
        #######-------###########----                       
          ###################-----                          
              #########--------                             
                      #                                     


All Stations defining and nondefining: 
Station.Net 	Def 	Distance 	Azi    	Bazi  	lo-f 	hi-f vmodel
            	    	(km)     	(deg)  	(deg) 	(Hz) 	(Hz)    
BFC.NN (D) 	Y 	    43.3  	347  	167  	0.020 	0.100 BFC.NN.wus.glib
PNT.NN (D) 	Y 	    65.0  	352  	172  	0.020 	0.100 PNT.NN.wus.glib
TBRD.NN (D) 	Y 	    82.4  	333  	153  	0.020 	0.100 TBRD.NN.wus.glib
WASH.NN (D) 	Y 	    94.3  	345  	165  	0.020 	0.100 WASH.NN.wus.glib
CMB.BK (D) 	Y 	    94.6  	236  	 55  	0.020 	0.100 CMB.BK.wus.glib
MPK.NN (D) 	Y 	    98.6  	332  	151  	0.020 	0.100 MPK.NN.wus.glib
REDF.NN (D) 	Y 	   100.4  	347  	167  	0.020 	0.080 REDF.NN.wus.glib
WDEM.NN (D) 	Y 	   121.9  	347  	167  	0.020 	0.080 WDEM.NN.wus.glib
KVN.NN (D) 	Y 	   134.9  	 63  	244  	0.020 	0.080 KVN.NN.wus.glib
MCM05.NN (D) 	Y 	   146.9  	105  	286  	0.020 	0.080 MCM05.NN.wus.glib
CMK6.NN (D) 	Y 	   148.4  	 53  	234  	0.020 	0.080 CMK6.NN.wus.glib
MCA04.GS (D) 	Y 	   162.8  	107  	288  	0.020 	0.080 MCA04.GS.wus.glib
BEK.NN (D) 	Y 	   168.4  	334  	153  	0.020 	0.080 BEK.NN.wus.glib
TIN.CI (D) 	Y 	   196.7  	145  	326  	0.020 	0.080 TIN.CI.wus.glib
Q09A.NN (D) 	Y 	   203.9  	 79  	261  	0.020 	0.080 Q09A.NN.wus.glib

 (V)-velocity (D)-Displacement

Author: www-data
Date: 2021/07/09 00:06:03 UTC

Date: 2021/07/08 17:06:03 PDT

mtinv Version 3.0.6 Thu Jan 11 16:00:25 PST 2018


Solution Name: T049.0sec_Z014.0km_
Event ID: mw
Origin ID: 001
Date:
Seismic Moment Tensor Solution

2021/07/08 (189) 22:49:49.00 38.5105 -119.4950 001
	Depth =  14.0 (km)
	Mw    =  5.55
	Mo    =  2.66x10^24 (dyne x cm)

	Percent Double Couple =  87 %
	Percent CLVD          =  13 %
	no ISO calculated
	Epsilon=-0.06
	 Percent Variance Reduction =  12.44 %
	 Total Fit                  =  0.89 
	Major Double Couple
		            strike dip   rake
		Nodal Plane 1: 182  32  -85
		Nodal Plane 2: 357  58  -93

	DEVIATORIC MOMENT TENSOR

	Moment Tensor Elements: Spherical Coordinates
		Mrr= -2.41 Mtt=  0.17 Mff=  2.25
		Mrt=  0.15 Mrf= -1.09 Mtf= -0.01 EXP=24


	Moment Tensor Elements: Cartesian Coordinates
		 0.17  0.01  0.15
		 0.01  2.25  1.09
		 0.15  1.09 -2.41

	Eigenvalues:
		T-axis eigenvalue=  2.49
		N-axis eigenvalue=  0.17
		P-axis eigenvalue= -2.66

	Eigenvalues and eigenvectors of the Major Double Couple:
		T-axis ev= 2.49 trend=89 plunge=13
		N-axis ev= 0.00 trend=358 plunge=3
		P-axis ev=-2.49 trend=257 plunge=77

	Maximum Azmuithal Gap=96 Distance to Nearest Station= 43.3 (km)

	Number of Stations (D=Displacement/V=Velocity) Used=15 (defining only)
		
	 BFC.NN.D PNT.NN.D TBRD.NN.D WASH.NN.D
	 CMB.BK.D MPK.NN.D REDF.NN.D WDEM.NN.D
	 KVN.NN.D MCM05.NN.D CMK6.NN.D MCA04.GS.D
	 BEK.NN.D TIN.CI.D Q09A.NN.D


              ##################                            
          #########----############                         
        #########--------############                       
      #########-----------#############                     
     ########--------------##############                   
    ########----------------##############                  
  -########------------------##############                 
  ########-------------------##############                 
 ########---------------------##############                
 ########---------------------##############                
 ########---------------------##########   ##               
 #######-------   -------------######### T ##               
 #######------- P -------------#########   ##               
 #######-------   -------------##############               
 ########----------------------#############                
 ########---------------------##############                
  ########--------------------#############                 
   ########-------------------#############                 
   ########------------------#############                  
     ########---------------#############                   
      ########--------------###########                     
        ########-----------##########                       
          ########-------##########                         
              ########--########                            
                                                            


All Stations defining and nondefining: 
Station.Net 	Def 	Distance 	Azi    	Bazi  	lo-f 	hi-f vmodel
            	    	(km)     	(deg)  	(deg) 	(Hz) 	(Hz)    
BFC.NN (D) 	Y 	    43.3  	347  	167  	0.020 	0.100 BFC.NN.wus.glib
PNT.NN (D) 	Y 	    65.0  	352  	172  	0.020 	0.100 PNT.NN.wus.glib
TBRD.NN (D) 	Y 	    82.4  	333  	153  	0.020 	0.100 TBRD.NN.wus.glib
WASH.NN (D) 	Y 	    94.3  	345  	165  	0.020 	0.100 WASH.NN.wus.glib
CMB.BK (D) 	Y 	    94.6  	236  	 55  	0.020 	0.100 CMB.BK.wus.glib
MPK.NN (D) 	Y 	    98.6  	332  	151  	0.020 	0.100 MPK.NN.wus.glib
REDF.NN (D) 	Y 	   100.4  	347  	167  	0.020 	0.080 REDF.NN.wus.glib
WDEM.NN (D) 	Y 	   121.9  	347  	167  	0.020 	0.080 WDEM.NN.wus.glib
KVN.NN (D) 	Y 	   134.9  	 63  	244  	0.020 	0.080 KVN.NN.wus.glib
MCM05.NN (D) 	Y 	   146.9  	105  	286  	0.020 	0.080 MCM05.NN.wus.glib
CMK6.NN (D) 	Y 	   148.4  	 53  	234  	0.020 	0.080 CMK6.NN.wus.glib
MCA04.GS (D) 	Y 	   162.8  	107  	288  	0.020 	0.080 MCA04.GS.wus.glib
BEK.NN (D) 	Y 	   168.4  	334  	153  	0.020 	0.080 BEK.NN.wus.glib
TIN.CI (D) 	Y 	   196.7  	145  	326  	0.020 	0.080 TIN.CI.wus.glib
Q09A.NN (D) 	Y 	   203.9  	 79  	261  	0.020 	0.080 Q09A.NN.wus.glib

 (V)-velocity (D)-Displacement

Author: www-data
Date: 2021/07/09 00:06:01 UTC

Date: 2021/07/08 17:06:01 PDT

mtinv Version 3.0.6 Thu Jan 11 16:00:25 PST 2018


Solution Name: T050.0sec_Z008.0km_
Event ID: mw
Origin ID: 001
Date:
Seismic Moment Tensor Solution

2021/07/08 (189) 22:49:50.00 38.5105 -119.4950 001
	Depth =   8.0 (km)
	Mw    =  5.70
	Mo    =  4.38x10^24 (dyne x cm)

	Percent Double Couple =  96 %
	Percent CLVD          =   4 %
	no ISO calculated
	Epsilon=-0.02
	 Percent Variance Reduction =  29.32 %
	 Total Fit                  =  6.40 
	Major Double Couple
		            strike dip   rake
		Nodal Plane 1: 188  37  -79
		Nodal Plane 2: 355  54  -98

	DEVIATORIC MOMENT TENSOR

	Moment Tensor Elements: Spherical Coordinates
		Mrr= -4.15 Mtt=  0.03 Mff=  4.12
		Mrt=  0.47 Mrf= -1.23 Mtf=  0.13 EXP=24


	Moment Tensor Elements: Cartesian Coordinates
		 0.03 -0.13  0.47
		-0.13  4.12  1.23
		 0.47  1.23 -4.15

	Eigenvalues:
		T-axis eigenvalue=  4.30
		N-axis eigenvalue=  0.08
		P-axis eigenvalue= -4.38

	Eigenvalues and eigenvectors of the Major Double Couple:
		T-axis ev= 4.30 trend=91 plunge=8
		N-axis ev= 0.00 trend=360 plunge=6
		P-axis ev=-4.30 trend=233 plunge=80

	Maximum Azmuithal Gap=96 Distance to Nearest Station= 43.3 (km)

	Number of Stations (D=Displacement/V=Velocity) Used=15 (defining only)
		
	 BFC.NN.D PNT.NN.D TBRD.NN.D WASH.NN.D
	 CMB.BK.D MPK.NN.D REDF.NN.D WDEM.NN.D
	 KVN.NN.D MCM05.NN.D CMK6.NN.D MCA04.GS.D
	 BEK.NN.D TIN.CI.D Q09A.NN.D


              ##################                            
          ############-############                         
        ###########------############                       
      ##########----------#############                     
     ##########-------------#############                   
    ##########---------------#############                  
  -#########-----------------##############                 
  ##########------------------#############                 
 ##########--------------------#############                
 #########---------------------#############                
 #########---------------------##############               
 #########----------------------########   ##               
 ########--------   ------------######## T ##               
 ########-------- P ------------########   ##               
 ########--------   ------------############                
 #########---------------------#############                
  ########---------------------############                 
   ########--------------------############                 
   #########------------------############                  
     ########----------------############                   
      ########---------------##########                     
        #######------------##########                       
          #######---------#########                         
              ######----########                            
                                                            


All Stations defining and nondefining: 
Station.Net 	Def 	Distance 	Azi    	Bazi  	lo-f 	hi-f vmodel
            	    	(km)     	(deg)  	(deg) 	(Hz) 	(Hz)    
BFC.NN (D) 	Y 	    43.3  	347  	167  	0.020 	0.100 BFC.NN.wus.glib
PNT.NN (D) 	Y 	    65.0  	352  	172  	0.020 	0.100 PNT.NN.wus.glib
TBRD.NN (D) 	Y 	    82.4  	333  	153  	0.020 	0.100 TBRD.NN.wus.glib
WASH.NN (D) 	Y 	    94.3  	345  	165  	0.020 	0.100 WASH.NN.wus.glib
CMB.BK (D) 	Y 	    94.6  	236  	 55  	0.020 	0.100 CMB.BK.wus.glib
MPK.NN (D) 	Y 	    98.6  	332  	151  	0.020 	0.100 MPK.NN.wus.glib
REDF.NN (D) 	Y 	   100.4  	347  	167  	0.020 	0.080 REDF.NN.wus.glib
WDEM.NN (D) 	Y 	   121.9  	347  	167  	0.020 	0.080 WDEM.NN.wus.glib
KVN.NN (D) 	Y 	   134.9  	 63  	244  	0.020 	0.080 KVN.NN.wus.glib
MCM05.NN (D) 	Y 	   146.9  	105  	286  	0.020 	0.080 MCM05.NN.wus.glib
CMK6.NN (D) 	Y 	   148.4  	 53  	234  	0.020 	0.080 CMK6.NN.wus.glib
MCA04.GS (D) 	Y 	   162.8  	107  	288  	0.020 	0.080 MCA04.GS.wus.glib
BEK.NN (D) 	Y 	   168.4  	334  	153  	0.020 	0.080 BEK.NN.wus.glib
TIN.CI (D) 	Y 	   196.7  	145  	326  	0.020 	0.080 TIN.CI.wus.glib
Q09A.NN (D) 	Y 	   203.9  	 79  	261  	0.020 	0.080 Q09A.NN.wus.glib

 (V)-velocity (D)-Displacement

Author: www-data
Date: 2021/07/09 00:05:59 UTC

Date: 2021/07/08 17:05:59 PDT

mtinv Version 3.0.6 Thu Jan 11 16:00:25 PST 2018


Solution Name: T051.0sec_Z008.0km_
Event ID: mw
Origin ID: 001
Date:
Seismic Moment Tensor Solution

2021/07/08 (189) 22:49:51.00 38.5105 -119.4950 001
	Depth =   8.0 (km)
	Mw    =  5.75
	Mo    =  5.23x10^24 (dyne x cm)

	Percent Double Couple =  89 %
	Percent CLVD          =  11 %
	no ISO calculated
	Epsilon=0.05
	 Percent Variance Reduction =  52.54 %
	 Total Fit                  =  4.49 
	Major Double Couple
		            strike dip   rake
		Nodal Plane 1: 194  42  -77
		Nodal Plane 2: 356  49 -102

	DEVIATORIC MOMENT TENSOR

	Moment Tensor Elements: Spherical Coordinates
		Mrr= -4.80 Mtt= -0.35 Mff=  5.15
		Mrt=  0.68 Mrf= -0.63 Mtf=  0.50 EXP=24


	Moment Tensor Elements: Cartesian Coordinates
		-0.35 -0.50  0.68
		-0.50  5.15  0.63
		 0.68  0.63 -4.80

	Eigenvalues:
		T-axis eigenvalue=  5.23
		N-axis eigenvalue= -0.28
		P-axis eigenvalue= -4.95

	Eigenvalues and eigenvectors of the Major Double Couple:
		T-axis ev= 5.23 trend=95 plunge=3
		N-axis ev= 0.00 trend=4 plunge=9
		P-axis ev=-5.23 trend=204 plunge=80

	Maximum Azmuithal Gap=96 Distance to Nearest Station= 43.3 (km)

	Number of Stations (D=Displacement/V=Velocity) Used=15 (defining only)
		
	 BFC.NN.D PNT.NN.D TBRD.NN.D WASH.NN.D
	 CMB.BK.D MPK.NN.D REDF.NN.D WDEM.NN.D
	 KVN.NN.D MCM05.NN.D CMK6.NN.D MCA04.GS.D
	 BEK.NN.D TIN.CI.D Q09A.NN.D


              ##################                            
          #########################                         
        #############-----###########                       
      #############--------############                     
     ############-----------#############                   
    ############--------------############                  
  -###########----------------#############                 
  ###########------------------############                 
 ###########--------------------############                
 ###########--------------------############                
 ##########----------------------############               
 ##########----------------------#######   ##               
 #########--------   ------------####### T ##               
 #########-------- P ------------#######   ##               
 #########--------   ------------###########                
 #########----------------------############                
  #########---------------------###########                 
   ########---------------------###########                 
   #########-------------------###########                  
     #######------------------###########                   
      #######----------------##########                     
        #######-------------#########                       
          ######----------#########                         
              ####------########                            
                                                            


All Stations defining and nondefining: 
Station.Net 	Def 	Distance 	Azi    	Bazi  	lo-f 	hi-f vmodel
            	    	(km)     	(deg)  	(deg) 	(Hz) 	(Hz)    
BFC.NN (D) 	Y 	    43.3  	347  	167  	0.020 	0.100 BFC.NN.wus.glib
PNT.NN (D) 	Y 	    65.0  	352  	172  	0.020 	0.100 PNT.NN.wus.glib
TBRD.NN (D) 	Y 	    82.4  	333  	153  	0.020 	0.100 TBRD.NN.wus.glib
WASH.NN (D) 	Y 	    94.3  	345  	165  	0.020 	0.100 WASH.NN.wus.glib
CMB.BK (D) 	Y 	    94.6  	236  	 55  	0.020 	0.100 CMB.BK.wus.glib
MPK.NN (D) 	Y 	    98.6  	332  	151  	0.020 	0.100 MPK.NN.wus.glib
REDF.NN (D) 	Y 	   100.4  	347  	167  	0.020 	0.080 REDF.NN.wus.glib
WDEM.NN (D) 	Y 	   121.9  	347  	167  	0.020 	0.080 WDEM.NN.wus.glib
KVN.NN (D) 	Y 	   134.9  	 63  	244  	0.020 	0.080 KVN.NN.wus.glib
MCM05.NN (D) 	Y 	   146.9  	105  	286  	0.020 	0.080 MCM05.NN.wus.glib
CMK6.NN (D) 	Y 	   148.4  	 53  	234  	0.020 	0.080 CMK6.NN.wus.glib
MCA04.GS (D) 	Y 	   162.8  	107  	288  	0.020 	0.080 MCA04.GS.wus.glib
BEK.NN (D) 	Y 	   168.4  	334  	153  	0.020 	0.080 BEK.NN.wus.glib
TIN.CI (D) 	Y 	   196.7  	145  	326  	0.020 	0.080 TIN.CI.wus.glib
Q09A.NN (D) 	Y 	   203.9  	 79  	261  	0.020 	0.080 Q09A.NN.wus.glib

 (V)-velocity (D)-Displacement

Author: www-data
Date: 2021/07/09 00:05:57 UTC

Date: 2021/07/08 17:05:57 PDT

mtinv Version 3.0.6 Thu Jan 11 16:00:25 PST 2018


Solution Name: T052.0sec_Z002.0km_
Event ID: mw
Origin ID: 001
Date:
Seismic Moment Tensor Solution

2021/07/08 (189) 22:49:52.00 38.5105 -119.4950 001
	Depth =   2.0 (km)
	Mw    =  5.56
	Mo    =  2.77x10^24 (dyne x cm)

	Percent Double Couple =  85 %
	Percent CLVD          =  15 %
	no ISO calculated
	Epsilon=-0.08
	 Percent Variance Reduction =  49.38 %
	 Total Fit                  =  3.02 
	Major Double Couple
		            strike dip   rake
		Nodal Plane 1: 232  55  -18
		Nodal Plane 2: 332  75 -144

	DEVIATORIC MOMENT TENSOR

	Moment Tensor Elements: Spherical Coordinates
		Mrr= -0.69 Mtt= -1.54 Mff=  2.23
		Mrt=  1.28 Mrf= -0.92 Mtf=  0.87 EXP=24


	Moment Tensor Elements: Cartesian Coordinates
		-1.54 -0.87  1.28
		-0.87  2.23  0.92
		 1.28  0.92 -0.69

	Eigenvalues:
		T-axis eigenvalue=  2.56
		N-axis eigenvalue=  0.21
		P-axis eigenvalue= -2.77

	Eigenvalues and eigenvectors of the Major Double Couple:
		T-axis ev= 2.56 trend=98 plunge=13
		N-axis ev= 0.00 trend=352 plunge=51
		P-axis ev=-2.56 trend=197 plunge=36

	Maximum Azmuithal Gap=96 Distance to Nearest Station= 43.3 (km)

	Number of Stations (D=Displacement/V=Velocity) Used=15 (defining only)
		
	 BFC.NN.D PNT.NN.D TBRD.NN.D WASH.NN.D
	 CMB.BK.D MPK.NN.D REDF.NN.D WDEM.NN.D
	 KVN.NN.D MCM05.NN.D CMK6.NN.D MCA04.GS.D
	 BEK.NN.D TIN.CI.D Q09A.NN.D


              -----------------                             
          ####---------------------                         
        ########---------------------                       
      ############---------------------                     
     ##############--------##############                   
    #################-####################                  
  -########################################                 
  ##################-######################                 
 ################------#####################                
 ##############---------####################                
 #############-----------####################               
 ###########--------------###################               
 ##########----------------#############   ##               
 ########-------------------############ T ##               
 #######--------------------############   #                
 ######----------------------###############                
  #####-----------------------#############                 
   ###------------------------#############                 
   ###-------------------------###########                  
     #-------------------------##########                   
      ---------   --------------#######                     
        ------- P --------------#####                       
          -----   --------------###                         
              -----------------                             
                                                            


All Stations defining and nondefining: 
Station.Net 	Def 	Distance 	Azi    	Bazi  	lo-f 	hi-f vmodel
            	    	(km)     	(deg)  	(deg) 	(Hz) 	(Hz)    
BFC.NN (D) 	Y 	    43.3  	347  	167  	0.020 	0.100 BFC.NN.wus.glib
PNT.NN (D) 	Y 	    65.0  	352  	172  	0.020 	0.100 PNT.NN.wus.glib
TBRD.NN (D) 	Y 	    82.4  	333  	153  	0.020 	0.100 TBRD.NN.wus.glib
WASH.NN (D) 	Y 	    94.3  	345  	165  	0.020 	0.100 WASH.NN.wus.glib
CMB.BK (D) 	Y 	    94.6  	236  	 55  	0.020 	0.100 CMB.BK.wus.glib
MPK.NN (D) 	Y 	    98.6  	332  	151  	0.020 	0.100 MPK.NN.wus.glib
REDF.NN (D) 	Y 	   100.4  	347  	167  	0.020 	0.080 REDF.NN.wus.glib
WDEM.NN (D) 	Y 	   121.9  	347  	167  	0.020 	0.080 WDEM.NN.wus.glib
KVN.NN (D) 	Y 	   134.9  	 63  	244  	0.020 	0.080 KVN.NN.wus.glib
MCM05.NN (D) 	Y 	   146.9  	105  	286  	0.020 	0.080 MCM05.NN.wus.glib
CMK6.NN (D) 	Y 	   148.4  	 53  	234  	0.020 	0.080 CMK6.NN.wus.glib
MCA04.GS (D) 	Y 	   162.8  	107  	288  	0.020 	0.080 MCA04.GS.wus.glib
BEK.NN (D) 	Y 	   168.4  	334  	153  	0.020 	0.080 BEK.NN.wus.glib
TIN.CI (D) 	Y 	   196.7  	145  	326  	0.020 	0.080 TIN.CI.wus.glib
Q09A.NN (D) 	Y 	   203.9  	 79  	261  	0.020 	0.080 Q09A.NN.wus.glib

 (V)-velocity (D)-Displacement

Author: www-data
Date: 2021/07/09 00:05:55 UTC

Date: 2021/07/08 17:05:55 PDT

mtinv Version 3.0.6 Thu Jan 11 16:00:25 PST 2018


Solution Name: T053.0sec_Z006.0km_
Event ID: mw
Origin ID: 001
Date:
Seismic Moment Tensor Solution

2021/07/08 (189) 22:49:53.00 38.5105 -119.4950 001
	Depth =   6.0 (km)
	Mw    =  5.74
	Mo    =  5.06x10^24 (dyne x cm)

	Percent Double Couple =  64 %
	Percent CLVD          =  36 %
	no ISO calculated
	Epsilon=0.18
	 Percent Variance Reduction =  72.11 %
	 Total Fit                  =  1.96 
	Major Double Couple
		            strike dip   rake
		Nodal Plane 1: 349  40 -120
		Nodal Plane 2: 206  56  -67

	DEVIATORIC MOMENT TENSOR

	Moment Tensor Elements: Spherical Coordinates
		Mrr= -3.61 Mtt= -1.11 Mff=  4.71
		Mrt=  1.21 Mrf=  1.13 Mtf=  0.94 EXP=24


	Moment Tensor Elements: Cartesian Coordinates
		-1.11 -0.94  1.21
		-0.94  4.71 -1.13
		 1.21 -1.13 -3.61

	Eigenvalues:
		T-axis eigenvalue=  5.06
		N-axis eigenvalue= -0.91
		P-axis eigenvalue= -4.16

	Eigenvalues and eigenvectors of the Major Double Couple:
		T-axis ev= 5.06 trend=280 plunge=9
		N-axis ev= 0.00 trend=13 plunge=19
		P-axis ev=-5.06 trend=167 plunge=69

	Maximum Azmuithal Gap=96 Distance to Nearest Station= 43.3 (km)

	Number of Stations (D=Displacement/V=Velocity) Used=15 (defining only)
		
	 BFC.NN.D PNT.NN.D TBRD.NN.D WASH.NN.D
	 CMB.BK.D MPK.NN.D REDF.NN.D WDEM.NN.D
	 KVN.NN.D MCM05.NN.D CMK6.NN.D MCA04.GS.D
	 BEK.NN.D TIN.CI.D Q09A.NN.D


              #########--------                             
          ################--#######                         
        #############################                       
      ###################---###########                     
     ##################------############                   
    #################----------###########                  
  -################-------------###########                 
  ################---------------##########                 
  ###############-----------------##########                
T ##############------------------##########                
  #############--------------------##########               
 #############---------------------##########               
 ############----------------------##########               
 ############----------------------##########               
 ###########-----------------------#########                
 ###########--------   ------------#########                
  ##########-------- P ------------########                 
   #########--------   -----------#########                 
   #########---------------------#########                  
     #######---------------------########                   
      ######-------------------########                     
        #####-----------------#######                       
          ###---------------#######                         
              ------------######                            
                                                            


All Stations defining and nondefining: 
Station.Net 	Def 	Distance 	Azi    	Bazi  	lo-f 	hi-f vmodel
            	    	(km)     	(deg)  	(deg) 	(Hz) 	(Hz)    
BFC.NN (D) 	Y 	    43.3  	347  	167  	0.020 	0.100 BFC.NN.wus.glib
PNT.NN (D) 	Y 	    65.0  	352  	172  	0.020 	0.100 PNT.NN.wus.glib
TBRD.NN (D) 	Y 	    82.4  	333  	153  	0.020 	0.100 TBRD.NN.wus.glib
WASH.NN (D) 	Y 	    94.3  	345  	165  	0.020 	0.100 WASH.NN.wus.glib
CMB.BK (D) 	Y 	    94.6  	236  	 55  	0.020 	0.100 CMB.BK.wus.glib
MPK.NN (D) 	Y 	    98.6  	332  	151  	0.020 	0.100 MPK.NN.wus.glib
REDF.NN (D) 	Y 	   100.4  	347  	167  	0.020 	0.080 REDF.NN.wus.glib
WDEM.NN (D) 	Y 	   121.9  	347  	167  	0.020 	0.080 WDEM.NN.wus.glib
KVN.NN (D) 	Y 	   134.9  	 63  	244  	0.020 	0.080 KVN.NN.wus.glib
MCM05.NN (D) 	Y 	   146.9  	105  	286  	0.020 	0.080 MCM05.NN.wus.glib
CMK6.NN (D) 	Y 	   148.4  	 53  	234  	0.020 	0.080 CMK6.NN.wus.glib
MCA04.GS (D) 	Y 	   162.8  	107  	288  	0.020 	0.080 MCA04.GS.wus.glib
BEK.NN (D) 	Y 	   168.4  	334  	153  	0.020 	0.080 BEK.NN.wus.glib
TIN.CI (D) 	Y 	   196.7  	145  	326  	0.020 	0.080 TIN.CI.wus.glib
Q09A.NN (D) 	Y 	   203.9  	 79  	261  	0.020 	0.080 Q09A.NN.wus.glib

 (V)-velocity (D)-Displacement

Author: www-data
Date: 2021/07/09 00:05:53 UTC

Date: 2021/07/08 17:05:53 PDT

mtinv Version 3.0.6 Thu Jan 11 16:00:25 PST 2018


Solution Name: T054.0sec_Z006.0km_
Event ID: mw
Origin ID: 001
Date:
Seismic Moment Tensor Solution

2021/07/08 (189) 22:49:54.00 38.5105 -119.4950 001
	Depth =   6.0 (km)
	Mw    =  5.72
	Mo    =  4.81x10^24 (dyne x cm)

	Percent Double Couple =  55 %
	Percent CLVD          =  45 %
	no ISO calculated
	Epsilon=0.22
	 Percent Variance Reduction =  60.89 %
	 Total Fit                  =  1.33 
	Major Double Couple
		            strike dip   rake
		Nodal Plane 1: 352  32 -116
		Nodal Plane 2: 203  61  -74

	DEVIATORIC MOMENT TENSOR

	Moment Tensor Elements: Spherical Coordinates
		Mrr= -3.01 Mtt= -1.09 Mff=  4.09
		Mrt=  1.01 Mrf=  1.95 Mtf=  0.90 EXP=24


	Moment Tensor Elements: Cartesian Coordinates
		-1.09 -0.90  1.01
		-0.90  4.09 -1.95
		 1.01 -1.95 -3.01

	Eigenvalues:
		T-axis eigenvalue=  4.81
		N-axis eigenvalue= -1.08
		P-axis eigenvalue= -3.74

	Eigenvalues and eigenvectors of the Major Double Couple:
		T-axis ev= 4.81 trend=281 plunge=15
		N-axis ev= 0.00 trend=15 plunge=14
		P-axis ev=-4.81 trend=145 plunge=69

	Maximum Azmuithal Gap=96 Distance to Nearest Station= 43.3 (km)

	Number of Stations (D=Displacement/V=Velocity) Used=15 (defining only)
		
	 BFC.NN.D PNT.NN.D TBRD.NN.D WASH.NN.D
	 CMB.BK.D MPK.NN.D REDF.NN.D WDEM.NN.D
	 KVN.NN.D MCM05.NN.D CMK6.NN.D MCA04.GS.D
	 BEK.NN.D TIN.CI.D Q09A.NN.D


              ###########------#                            
          #########################                         
        ###################-#########                       
      ###################-----#########                     
     ##################--------##########                   
    ##################-----------#########                  
  -#################--------------#########                 
  #################----------------########                 
  ################------------------########                
T ###############-------------------########                
  ##############---------------------########               
 ###############---------------------########               
 ##############----------------------########               
 #############-----------------------########               
 #############----------   ----------#######                
 #############---------- P ---------########                
  ###########-----------   ---------#######                 
   ##########----------------------########                 
   ##########---------------------########                  
     ########--------------------########                   
      #######-------------------#######                     
        ######----------------#######                       
          ####--------------#######                         
              #----------#######                            
                                                            


All Stations defining and nondefining: 
Station.Net 	Def 	Distance 	Azi    	Bazi  	lo-f 	hi-f vmodel
            	    	(km)     	(deg)  	(deg) 	(Hz) 	(Hz)    
BFC.NN (D) 	Y 	    43.3  	347  	167  	0.020 	0.100 BFC.NN.wus.glib
PNT.NN (D) 	Y 	    65.0  	352  	172  	0.020 	0.100 PNT.NN.wus.glib
TBRD.NN (D) 	Y 	    82.4  	333  	153  	0.020 	0.100 TBRD.NN.wus.glib
WASH.NN (D) 	Y 	    94.3  	345  	165  	0.020 	0.100 WASH.NN.wus.glib
CMB.BK (D) 	Y 	    94.6  	236  	 55  	0.020 	0.100 CMB.BK.wus.glib
MPK.NN (D) 	Y 	    98.6  	332  	151  	0.020 	0.100 MPK.NN.wus.glib
REDF.NN (D) 	Y 	   100.4  	347  	167  	0.020 	0.080 REDF.NN.wus.glib
WDEM.NN (D) 	Y 	   121.9  	347  	167  	0.020 	0.080 WDEM.NN.wus.glib
KVN.NN (D) 	Y 	   134.9  	 63  	244  	0.020 	0.080 KVN.NN.wus.glib
MCM05.NN (D) 	Y 	   146.9  	105  	286  	0.020 	0.080 MCM05.NN.wus.glib
CMK6.NN (D) 	Y 	   148.4  	 53  	234  	0.020 	0.080 CMK6.NN.wus.glib
MCA04.GS (D) 	Y 	   162.8  	107  	288  	0.020 	0.080 MCA04.GS.wus.glib
BEK.NN (D) 	Y 	   168.4  	334  	153  	0.020 	0.080 BEK.NN.wus.glib
TIN.CI (D) 	Y 	   196.7  	145  	326  	0.020 	0.080 TIN.CI.wus.glib
Q09A.NN (D) 	Y 	   203.9  	 79  	261  	0.020 	0.080 Q09A.NN.wus.glib

 (V)-velocity (D)-Displacement

Author: www-data
Date: 2021/07/09 00:05:51 UTC

Date: 2021/07/08 17:05:51 PDT

mtinv Version 3.0.6 Thu Jan 11 16:00:25 PST 2018


Solution Name: T055.0sec_Z014.0km_
Event ID: mw
Origin ID: 001
Date:
Seismic Moment Tensor Solution

2021/07/08 (189) 22:49:55.00 38.5105 -119.4950 001
	Depth =  14.0 (km)
	Mw    =  5.57
	Mo    =  2.78x10^24 (dyne x cm)

	Percent Double Couple =  93 %
	Percent CLVD          =   7 %
	no ISO calculated
	Epsilon=0.03
	 Percent Variance Reduction =  34.86 %
	 Total Fit                  =  4.46 
	Major Double Couple
		            strike dip   rake
		Nodal Plane 1: 323  68  165
		Nodal Plane 2:  59  76   23

	DEVIATORIC MOMENT TENSOR

	Moment Tensor Elements: Spherical Coordinates
		Mrr=  0.44 Mtt= -2.48 Mff=  2.04
		Mrt=  0.47 Mrf=  1.07 Mtf=  0.92 EXP=24


	Moment Tensor Elements: Cartesian Coordinates
		-2.48 -0.92  0.47
		-0.92  2.04 -1.07
		 0.47 -1.07  0.44

	Eigenvalues:
		T-axis eigenvalue=  2.78
		N-axis eigenvalue= -0.09
		P-axis eigenvalue= -2.69

	Eigenvalues and eigenvectors of the Major Double Couple:
		T-axis ev= 2.78 trend=282 plunge=26
		N-axis ev= 0.00 trend=90 plunge=63
		P-axis ev=-2.78 trend=190 plunge=5

	Maximum Azmuithal Gap=96 Distance to Nearest Station= 43.3 (km)

	Number of Stations (D=Displacement/V=Velocity) Used=15 (defining only)
		
	 BFC.NN.D PNT.NN.D TBRD.NN.D WASH.NN.D
	 CMB.BK.D MPK.NN.D REDF.NN.D WDEM.NN.D
	 KVN.NN.D MCM05.NN.D CMK6.NN.D MCA04.GS.D
	 BEK.NN.D TIN.CI.D Q09A.NN.D


              -----------------                             
          -------------------------                         
        #####------------------------                       
      ##########-----------------------                     
     ##############---------------------                    
    #################--------------------#                  
  -####################----------------####                 
  #######################-------------#####                 
   #######################----------########                
 T ########################-------##########                
   ##########################---#############               
 ############################################               
 ############################################               
 ##########################----##############               
 #######################-------#############                
 ####################-----------############                
  ###############----------------##########                 
   ##########---------------------#########                 
   ###----------------------------########                  
     ------------------------------######                   
      -----------------------------####                     
        ---------------------------##                       
          -----   ----------------                          
              - P -------------                             
                                                            


All Stations defining and nondefining: 
Station.Net 	Def 	Distance 	Azi    	Bazi  	lo-f 	hi-f vmodel
            	    	(km)     	(deg)  	(deg) 	(Hz) 	(Hz)    
BFC.NN (D) 	Y 	    43.3  	347  	167  	0.020 	0.100 BFC.NN.wus.glib
PNT.NN (D) 	Y 	    65.0  	352  	172  	0.020 	0.100 PNT.NN.wus.glib
TBRD.NN (D) 	Y 	    82.4  	333  	153  	0.020 	0.100 TBRD.NN.wus.glib
WASH.NN (D) 	Y 	    94.3  	345  	165  	0.020 	0.100 WASH.NN.wus.glib
CMB.BK (D) 	Y 	    94.6  	236  	 55  	0.020 	0.100 CMB.BK.wus.glib
MPK.NN (D) 	Y 	    98.6  	332  	151  	0.020 	0.100 MPK.NN.wus.glib
REDF.NN (D) 	Y 	   100.4  	347  	167  	0.020 	0.080 REDF.NN.wus.glib
WDEM.NN (D) 	Y 	   121.9  	347  	167  	0.020 	0.080 WDEM.NN.wus.glib
KVN.NN (D) 	Y 	   134.9  	 63  	244  	0.020 	0.080 KVN.NN.wus.glib
MCM05.NN (D) 	Y 	   146.9  	105  	286  	0.020 	0.080 MCM05.NN.wus.glib
CMK6.NN (D) 	Y 	   148.4  	 53  	234  	0.020 	0.080 CMK6.NN.wus.glib
MCA04.GS (D) 	Y 	   162.8  	107  	288  	0.020 	0.080 MCA04.GS.wus.glib
BEK.NN (D) 	Y 	   168.4  	334  	153  	0.020 	0.080 BEK.NN.wus.glib
TIN.CI (D) 	Y 	   196.7  	145  	326  	0.020 	0.080 TIN.CI.wus.glib
Q09A.NN (D) 	Y 	   203.9  	 79  	261  	0.020 	0.080 Q09A.NN.wus.glib

 (V)-velocity (D)-Displacement

Author: www-data
Date: 2021/07/09 00:05:49 UTC

Date: 2021/07/08 17:05:49 PDT

mtinv Version 3.0.6 Thu Jan 11 16:00:25 PST 2018


Event ID: mw
Origin ID: 001
Date:
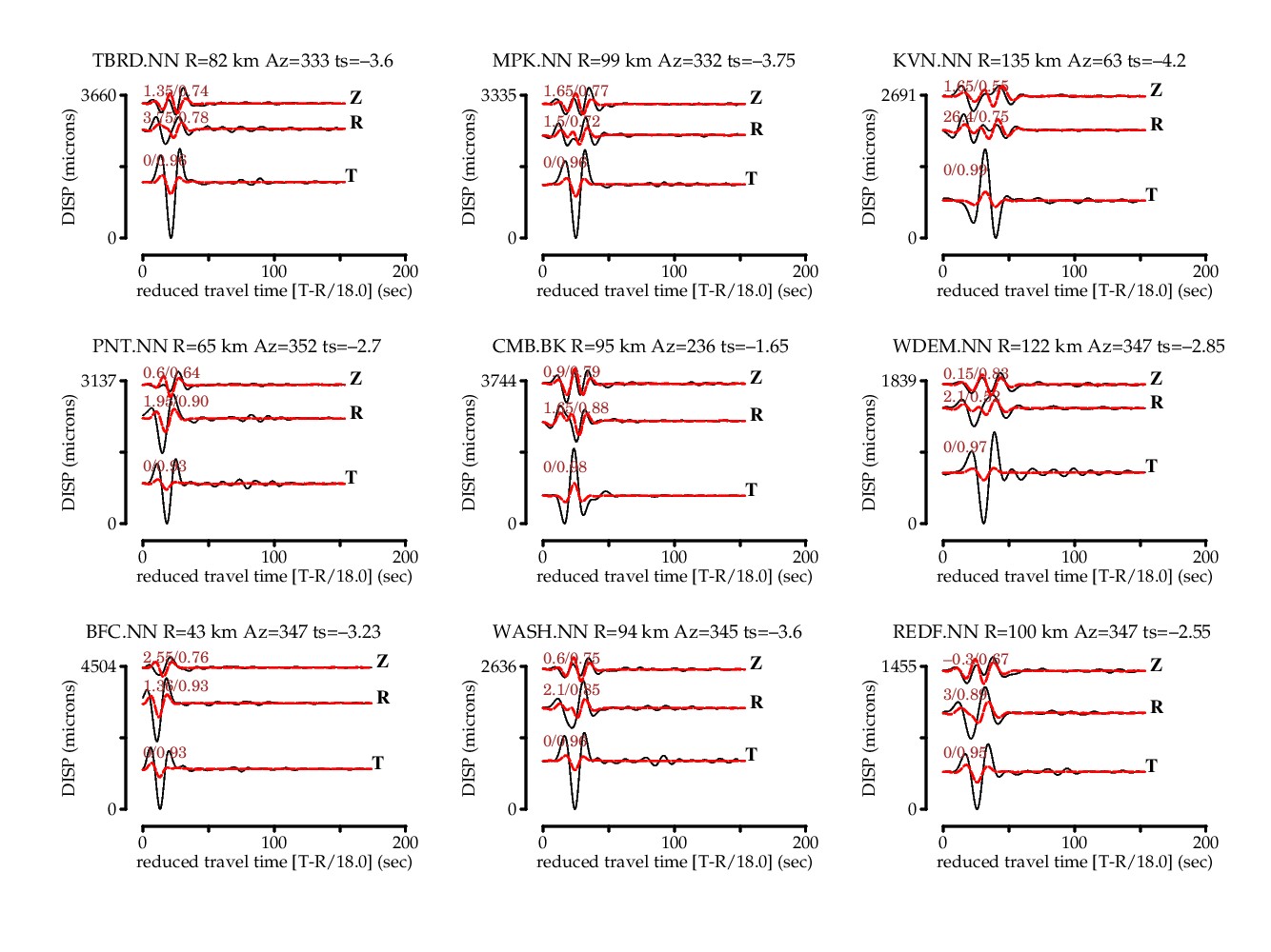
Filename: plotmech.jpg

Event ID: mw
Origin ID: 001
Date:
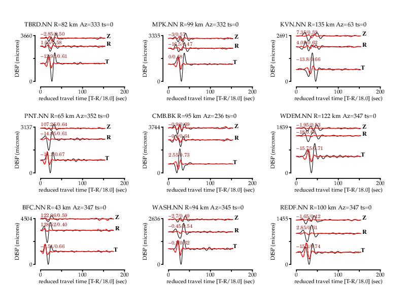
Filename: plotz.jpg

Event ID: mw
Origin ID: 001
Date:
Filename: results.5.jpg