Event ID: mw
Origin ID: 001
Date:
Filename: gmtmap.jpg

Solution Name: T006.0sec_Z002.0km_
Event ID: mw
Origin ID: 001
Date:
Seismic Moment Tensor Solution

2022/08/08 (220) 20:44:06.00 38.5812 -119.4463 001
	Depth =   2.0 (km)
	Mw    =  4.00
	Mo    =  1.26x10^22 (dyne x cm)

	Percent Double Couple =  96 %
	Percent CLVD          =   4 %
	no ISO calculated
	Epsilon=-0.02
	 Percent Variance Reduction =  12.44 %
	 Total Fit                  =  2.56 
	Major Double Couple
		            strike dip   rake
		Nodal Plane 1: 230  41  167
		Nodal Plane 2: 330  82   49

	DEVIATORIC MOMENT TENSOR

	Moment Tensor Elements: Spherical Coordinates
		Mrr=  0.27 Mtt=  0.64 Mff= -0.91
		Mrt= -0.55 Mrf=  0.74 Mtf= -0.27 EXP=22


	Moment Tensor Elements: Cartesian Coordinates
		 0.64  0.27 -0.55
		 0.27 -0.91 -0.74
		-0.55 -0.74  0.27

	Eigenvalues:
		T-axis eigenvalue=  1.24
		N-axis eigenvalue=  0.02
		P-axis eigenvalue= -1.26

	Eigenvalues and eigenvectors of the Major Double Couple:
		T-axis ev= 1.24 trend=203 plunge=39
		N-axis ev= 0.00 trend=337 plunge=40
		P-axis ev=-1.24 trend=90 plunge=26

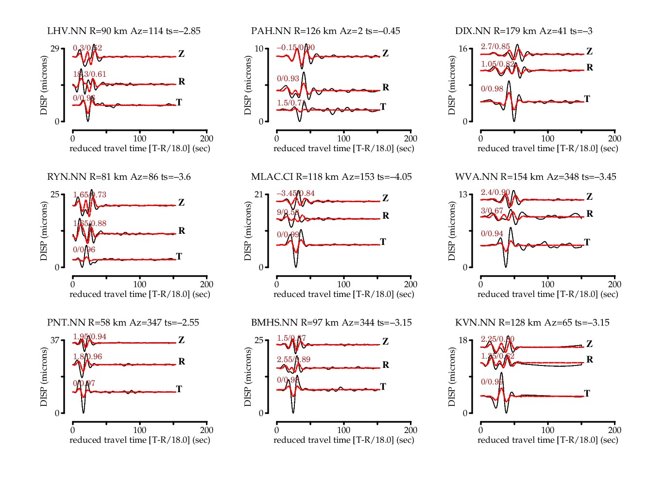
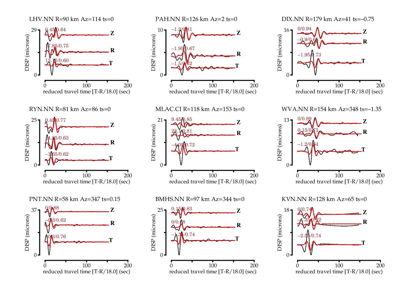
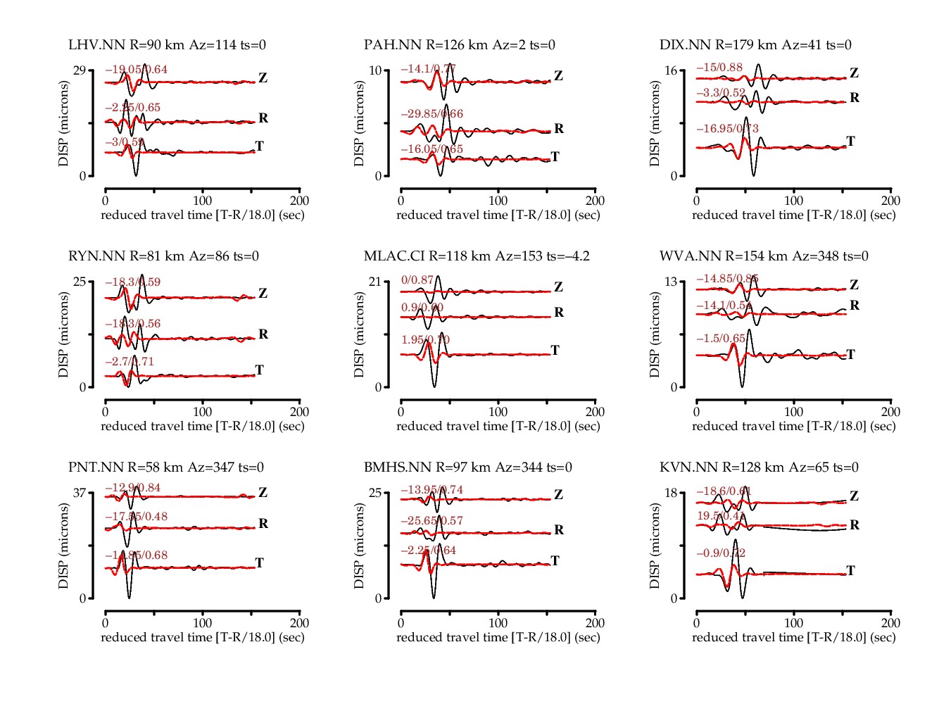
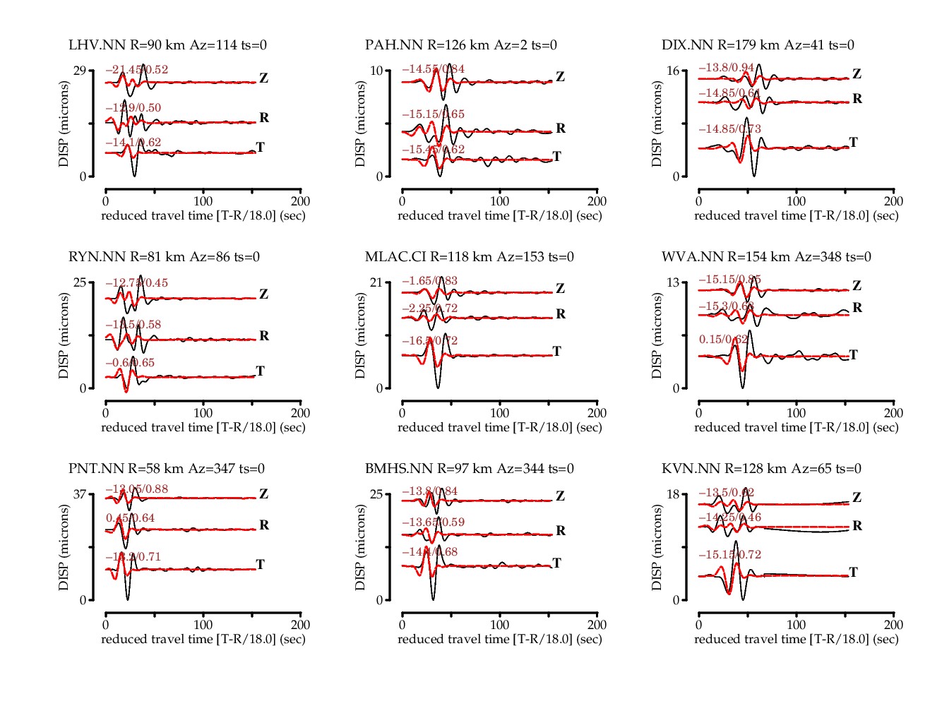
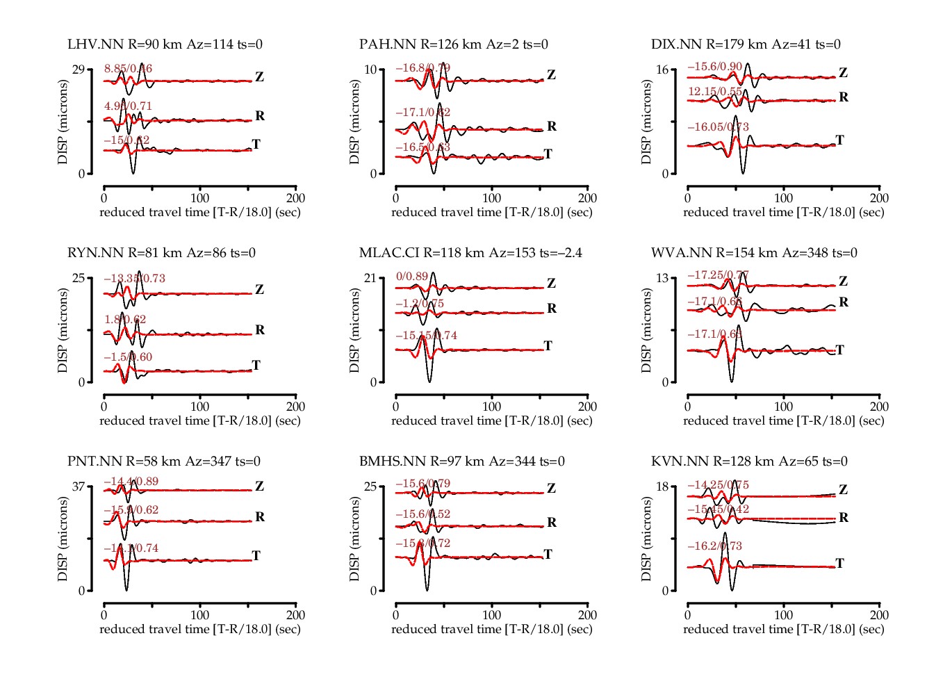
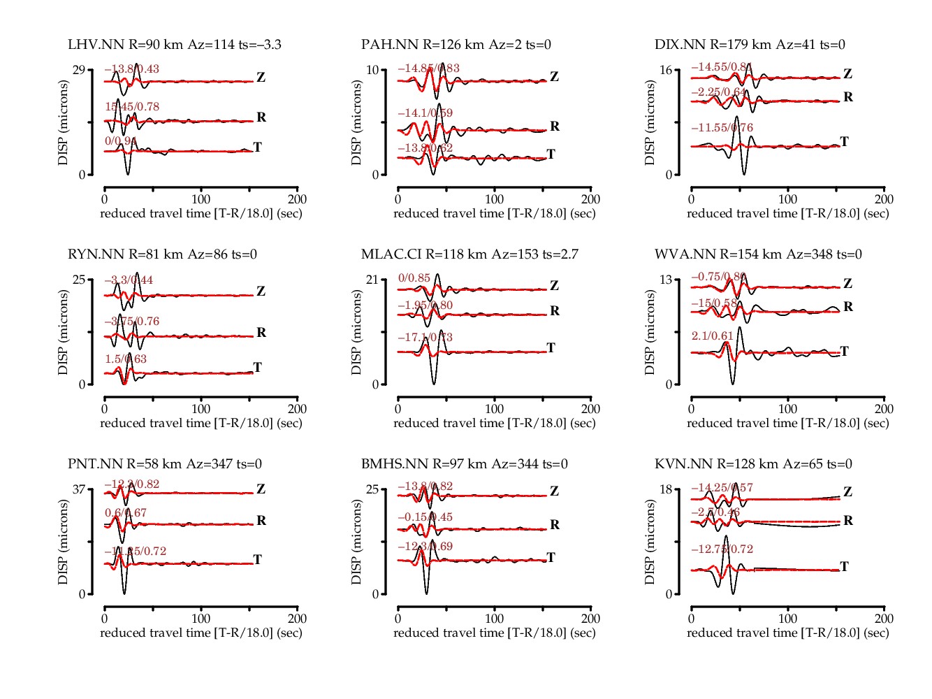
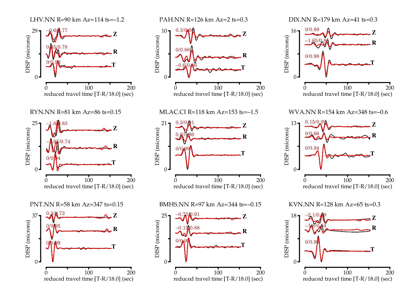
	Maximum Azmuithal Gap=191 Distance to Nearest Station= 58.1 (km)

	Number of Stations (D=Displacement/V=Velocity) Used=9 (defining only)
		
	 PNT.NN.D RYN.NN.D LHV.NN.D BMHS.NN.D
	 MLAC.CI.D PAH.NN.D KVN.NN.D WVA.NN.D
	 DIX.NN.D


              ##################                            
          -########################                         
        ----#########################                       
      --------#########################                     
     ----------########---------------##                    
    ------------###----------------------                   
  ------------######-----------------------                 
  ----------#########----------------------                 
 ---------############----------------------                
 --------##############---------------------                
 -------#################-------------------                
 ------##################-------------   ---                
 -----####################------------ P ---                
 -----#####################-----------   ---                
 ----#######################----------------                
 ----########################---------------                
  ---#########################-------------                 
   --##########################-----------                  
   --###########################----------                  
     ########   ################--------                    
      ####### T #################------                     
        #####   ##################---                       
          ########################                          
              ##################                            
                      #                                     


All Stations defining and nondefining: 
Station.Net 	Def 	Distance 	Azi    	Bazi  	lo-f 	hi-f vmodel
            	    	(km)     	(deg)  	(deg) 	(Hz) 	(Hz)    
PNT.NN (D) 	Y 	    58.1  	347  	167  	0.020 	0.100 PNT.NN.wus.glib
RYN.NN (D) 	Y 	    80.6  	 86  	266  	0.020 	0.100 RYN.NN.wus.glib
LHV.NN (D) 	Y 	    90.2  	114  	294  	0.020 	0.100 LHV.NN.wus.glib
BMHS.NN (D) 	Y 	    97.1  	344  	164  	0.020 	0.100 BMHS.NN.wus.glib
MLAC.CI (D) 	Y 	   118.2  	153  	334  	0.020 	0.080 MLAC.CI.wus.glib
PAH.NN (D) 	Y 	   125.5  	  2  	182  	0.020 	0.080 PAH.NN.wus.glib
KVN.NN (D) 	Y 	   127.7  	 65  	246  	0.020 	0.080 KVN.NN.wus.glib
WVA.NN (D) 	Y 	   154.4  	348  	168  	0.020 	0.080 WVA.NN.wus.glib
DIX.NN (D) 	Y 	   179.4  	 41  	221  	0.020 	0.080 DIX.NN.wus.glib

 (V)-velocity (D)-Displacement

Author: www-data
Date: 2022/08/08 21:57:59 UTC

Date: 2022/08/08 14:57:59 PDT

mtinv Version 3.0.6 Thu Jan 11 16:00:25 PST 2018


Solution Name: T007.0sec_Z016.0km_
Event ID: mw
Origin ID: 001
Date:
Seismic Moment Tensor Solution

2022/08/08 (220) 20:44:07.00 38.5812 -119.4463 001
	Depth =  16.0 (km)
	Mw    =  4.08
	Mo    =  1.66x10^22 (dyne x cm)

	Percent Double Couple =  97 %
	Percent CLVD          =   3 %
	no ISO calculated
	Epsilon=0.01
	 Percent Variance Reduction =  16.27 %
	 Total Fit                  =  4.27 
	Major Double Couple
		            strike dip   rake
		Nodal Plane 1: 234  62  161
		Nodal Plane 2: 333  73   29

	DEVIATORIC MOMENT TENSOR

	Moment Tensor Elements: Spherical Coordinates
		Mrr=  0.43 Mtt=  1.02 Mff= -1.45
		Mrt= -0.69 Mrf=  0.41 Mtf= -0.65 EXP=22


	Moment Tensor Elements: Cartesian Coordinates
		 1.02  0.65 -0.69
		 0.65 -1.45 -0.41
		-0.69 -0.41  0.43

	Eigenvalues:
		T-axis eigenvalue=  1.66
		N-axis eigenvalue= -0.02
		P-axis eigenvalue= -1.64

	Eigenvalues and eigenvectors of the Major Double Couple:
		T-axis ev= 1.66 trend=197 plunge=32
		N-axis ev= 0.00 trend=1 plunge=57
		P-axis ev=-1.66 trend=102 plunge=7

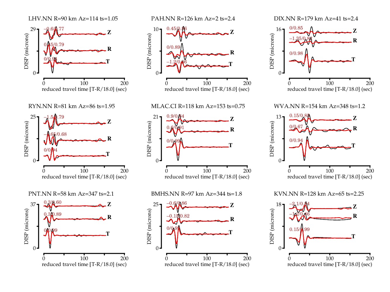
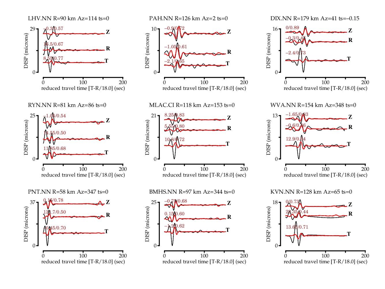
	Maximum Azmuithal Gap=191 Distance to Nearest Station= 58.1 (km)

	Number of Stations (D=Displacement/V=Velocity) Used=9 (defining only)
		
	 PNT.NN.D RYN.NN.D LHV.NN.D BMHS.NN.D
	 MLAC.CI.D PAH.NN.D KVN.NN.D WVA.NN.D
	 DIX.NN.D


              ##################                            
          ---######################                         
        -------######################                       
      -----------######################                     
     -------------#######################                   
    ----------------##############-------                   
  -------------------######----------------                 
  ------------------####-------------------                 
 -----------------#######-------------------                
 --------------###########------------------                
 ------------##############-----------------                
 ----------#################----------------                
 ---------###################---------------                
 --------#####################----------   -                
 ------#######################---------- P -                
 -----#########################---------   -                
  ----#########################------------                 
   --###########################----------                  
   --###########################----------                  
     ###########################--------                    
      #########   ###############------                     
        ####### T ###############----                       
          #####   ###############-                          
              ##################                            
                      #                                     


All Stations defining and nondefining: 
Station.Net 	Def 	Distance 	Azi    	Bazi  	lo-f 	hi-f vmodel
            	    	(km)     	(deg)  	(deg) 	(Hz) 	(Hz)    
PNT.NN (D) 	Y 	    58.1  	347  	167  	0.020 	0.100 PNT.NN.wus.glib
RYN.NN (D) 	Y 	    80.6  	 86  	266  	0.020 	0.100 RYN.NN.wus.glib
LHV.NN (D) 	Y 	    90.2  	114  	294  	0.020 	0.100 LHV.NN.wus.glib
BMHS.NN (D) 	Y 	    97.1  	344  	164  	0.020 	0.100 BMHS.NN.wus.glib
MLAC.CI (D) 	Y 	   118.2  	153  	334  	0.020 	0.080 MLAC.CI.wus.glib
PAH.NN (D) 	Y 	   125.5  	  2  	182  	0.020 	0.080 PAH.NN.wus.glib
KVN.NN (D) 	Y 	   127.7  	 65  	246  	0.020 	0.080 KVN.NN.wus.glib
WVA.NN (D) 	Y 	   154.4  	348  	168  	0.020 	0.080 WVA.NN.wus.glib
DIX.NN (D) 	Y 	   179.4  	 41  	221  	0.020 	0.080 DIX.NN.wus.glib

 (V)-velocity (D)-Displacement

Author: www-data
Date: 2022/08/08 21:57:57 UTC

Date: 2022/08/08 14:57:57 PDT

mtinv Version 3.0.6 Thu Jan 11 16:00:25 PST 2018


Solution Name: T008.0sec_Z010.0km_
Event ID: mw
Origin ID: 001
Date:
Seismic Moment Tensor Solution

2022/08/08 (220) 20:44:08.00 38.5812 -119.4463 001
	Depth =  10.0 (km)
	Mw    =  4.14
	Mo    =  2.02x10^22 (dyne x cm)

	Percent Double Couple =  98 %
	Percent CLVD          =   2 %
	no ISO calculated
	Epsilon=-0.01
	 Percent Variance Reduction =  24.96 %
	 Total Fit                  =  7.76 
	Major Double Couple
		            strike dip   rake
		Nodal Plane 1: 228  57  145
		Nodal Plane 2: 339  61   38

	DEVIATORIC MOMENT TENSOR

	Moment Tensor Elements: Spherical Coordinates
		Mrr=  1.05 Mtt=  0.81 Mff= -1.86
		Mrt= -0.94 Mrf=  0.34 Mtf= -0.66 EXP=22


	Moment Tensor Elements: Cartesian Coordinates
		 0.81  0.66 -0.94
		 0.66 -1.86 -0.34
		-0.94 -0.34  1.05

	Eigenvalues:
		T-axis eigenvalue=  2.00
		N-axis eigenvalue=  0.02
		P-axis eigenvalue= -2.02

	Eigenvalues and eigenvectors of the Major Double Couple:
		T-axis ev= 2.00 trend=195 plunge=46
		N-axis ev= 0.00 trend=10 plunge=44
		P-axis ev=-2.00 trend=102 plunge=2

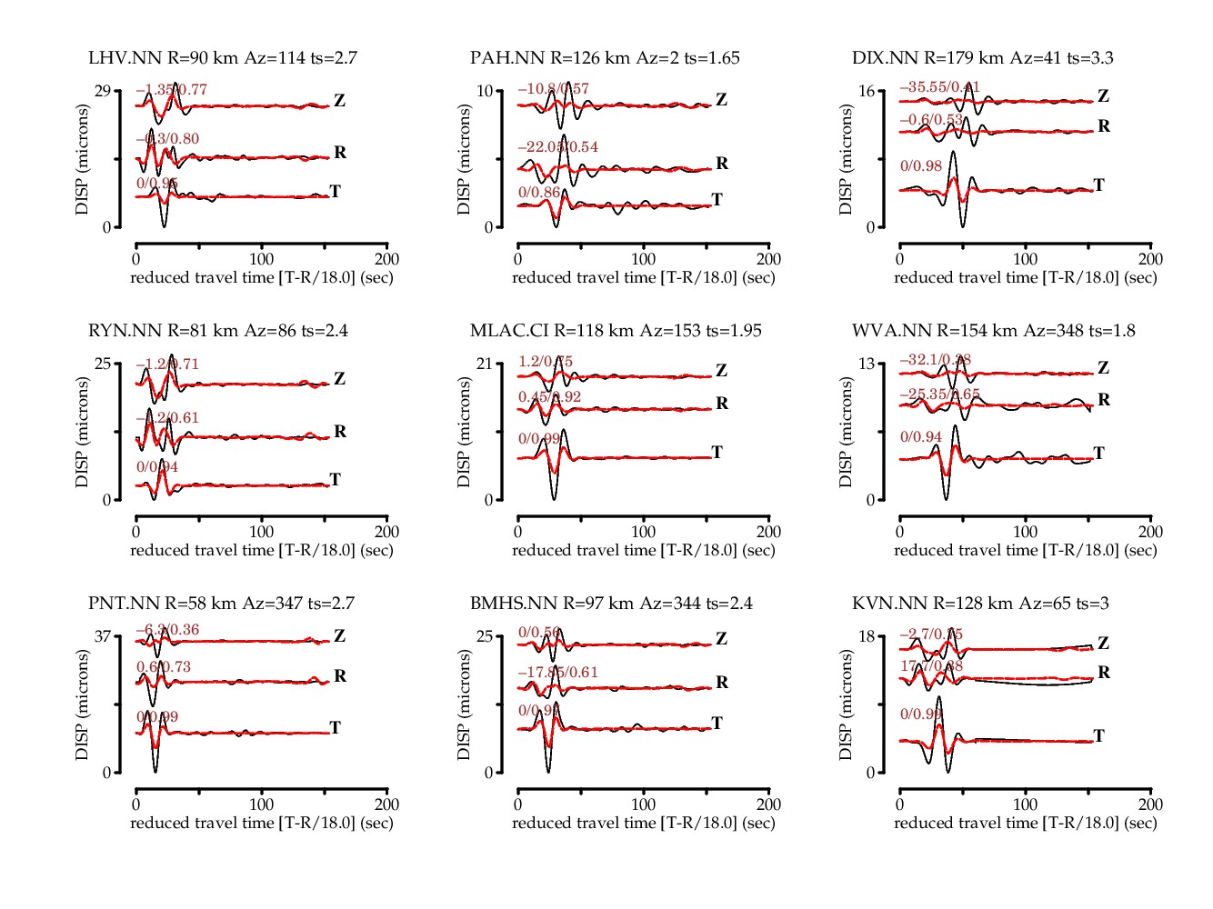
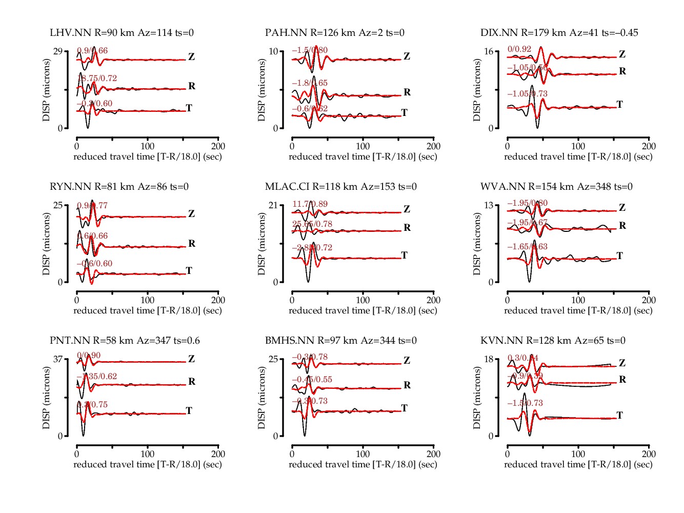
	Maximum Azmuithal Gap=191 Distance to Nearest Station= 58.1 (km)

	Number of Stations (D=Displacement/V=Velocity) Used=9 (defining only)
		
	 PNT.NN.D RYN.NN.D LHV.NN.D BMHS.NN.D
	 MLAC.CI.D PAH.NN.D KVN.NN.D WVA.NN.D
	 DIX.NN.D


              ##################                            
          -----####################                         
        ----------###################                       
      ---------------##################                     
     -----------------##########--------                    
    -------------------###---------------                   
  ------------------#######----------------                 
  ---------------###########---------------                 
 --------------##############---------------                
 -------------################--------------                
 -----------###################-------------                
 ----------####################-------------                
 ---------######################------------                
 --------#######################--------   -                
 -------########################-------- P -                
 ------##########################-------   -                
  -----##########################----------                 
   ---###########################---------                  
   ---###########################---------                  
     -#########   ###############-------                    
      ######### T ###############------                     
        #######   ##############-----                       
          ######################--                          
              #################                             
                      #                                     


All Stations defining and nondefining: 
Station.Net 	Def 	Distance 	Azi    	Bazi  	lo-f 	hi-f vmodel
            	    	(km)     	(deg)  	(deg) 	(Hz) 	(Hz)    
PNT.NN (D) 	Y 	    58.1  	347  	167  	0.020 	0.100 PNT.NN.wus.glib
RYN.NN (D) 	Y 	    80.6  	 86  	266  	0.020 	0.100 RYN.NN.wus.glib
LHV.NN (D) 	Y 	    90.2  	114  	294  	0.020 	0.100 LHV.NN.wus.glib
BMHS.NN (D) 	Y 	    97.1  	344  	164  	0.020 	0.100 BMHS.NN.wus.glib
MLAC.CI (D) 	Y 	   118.2  	153  	334  	0.020 	0.080 MLAC.CI.wus.glib
PAH.NN (D) 	Y 	   125.5  	  2  	182  	0.020 	0.080 PAH.NN.wus.glib
KVN.NN (D) 	Y 	   127.7  	 65  	246  	0.020 	0.080 KVN.NN.wus.glib
WVA.NN (D) 	Y 	   154.4  	348  	168  	0.020 	0.080 WVA.NN.wus.glib
DIX.NN (D) 	Y 	   179.4  	 41  	221  	0.020 	0.080 DIX.NN.wus.glib

 (V)-velocity (D)-Displacement

Author: www-data
Date: 2022/08/08 21:57:56 UTC

Date: 2022/08/08 14:57:56 PDT

mtinv Version 3.0.6 Thu Jan 11 16:00:25 PST 2018


Solution Name: T009.0sec_Z004.0km_
Event ID: mw
Origin ID: 001
Date:
Seismic Moment Tensor Solution

2022/08/08 (220) 20:44:09.00 38.5812 -119.4463 001
	Depth =   4.0 (km)
	Mw    =  4.14
	Mo    =  2.02x10^22 (dyne x cm)

	Percent Double Couple =  84 %
	Percent CLVD          =  16 %
	no ISO calculated
	Epsilon=0.08
	 Percent Variance Reduction =  24.56 %
	 Total Fit                  =  1.43 
	Major Double Couple
		            strike dip   rake
		Nodal Plane 1: 353  48   54
		Nodal Plane 2: 220  53  123

	DEVIATORIC MOMENT TENSOR

	Moment Tensor Elements: Spherical Coordinates
		Mrr=  1.60 Mtt=  0.08 Mff= -1.68
		Mrt= -0.86 Mrf=  0.10 Mtf= -0.57 EXP=22


	Moment Tensor Elements: Cartesian Coordinates
		 0.08  0.57 -0.86
		 0.57 -1.68 -0.10
		-0.86 -0.10  1.60

	Eigenvalues:
		T-axis eigenvalue=  2.02
		N-axis eigenvalue= -0.16
		P-axis eigenvalue= -1.86

	Eigenvalues and eigenvectors of the Major Double Couple:
		T-axis ev= 2.02 trend=192 plunge=64
		N-axis ev= 0.00 trend=19 plunge=26
		P-axis ev=-2.02 trend=287 plunge=3

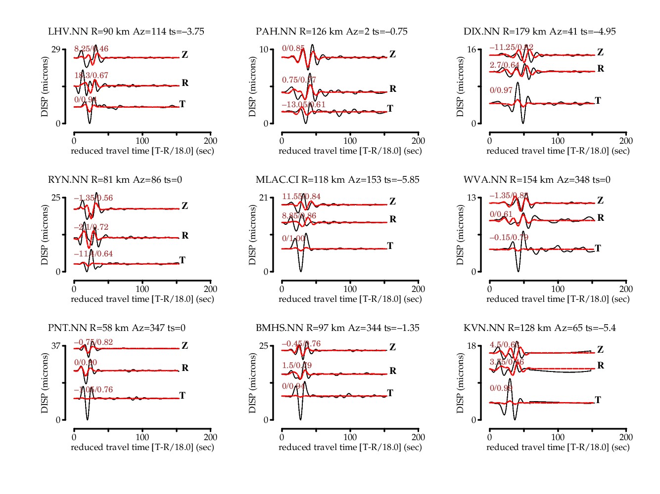
	Maximum Azmuithal Gap=191 Distance to Nearest Station= 58.1 (km)

	Number of Stations (D=Displacement/V=Velocity) Used=9 (defining only)
		
	 PNT.NN.D RYN.NN.D LHV.NN.D BMHS.NN.D
	 MLAC.CI.D PAH.NN.D KVN.NN.D WVA.NN.D
	 DIX.NN.D


              ------############                            
          -------------############                         
        -----------------############                       
      -------------------#####---------                     
     -----------------########----------                    
    ---------------############----------                   
  ---------------###############-----------                 
  --------------#################----------                 
P ------------###################-----------                
  -----------####################-----------                
 -----------######################----------                
 ----------#######################----------                
 ---------########################----------                
 --------#########################----------                
 -------##########################----------                
 -------##########################----------                
  ------#########   ##############---------                 
   -----######### T #############---------                  
   -----#########   #############---------                  
     ---########################--------                    
      --#######################--------                     
        ######################-------                       
          ###################-----                          
              #############----                             
                      #                                     


All Stations defining and nondefining: 
Station.Net 	Def 	Distance 	Azi    	Bazi  	lo-f 	hi-f vmodel
            	    	(km)     	(deg)  	(deg) 	(Hz) 	(Hz)    
PNT.NN (D) 	Y 	    58.1  	347  	167  	0.020 	0.100 PNT.NN.wus.glib
RYN.NN (D) 	Y 	    80.6  	 86  	266  	0.020 	0.100 RYN.NN.wus.glib
LHV.NN (D) 	Y 	    90.2  	114  	294  	0.020 	0.100 LHV.NN.wus.glib
BMHS.NN (D) 	Y 	    97.1  	344  	164  	0.020 	0.100 BMHS.NN.wus.glib
MLAC.CI (D) 	Y 	   118.2  	153  	334  	0.020 	0.080 MLAC.CI.wus.glib
PAH.NN (D) 	Y 	   125.5  	  2  	182  	0.020 	0.080 PAH.NN.wus.glib
KVN.NN (D) 	Y 	   127.7  	 65  	246  	0.020 	0.080 KVN.NN.wus.glib
WVA.NN (D) 	Y 	   154.4  	348  	168  	0.020 	0.080 WVA.NN.wus.glib
DIX.NN (D) 	Y 	   179.4  	 41  	221  	0.020 	0.080 DIX.NN.wus.glib

 (V)-velocity (D)-Displacement

Author: www-data
Date: 2022/08/08 21:57:54 UTC

Date: 2022/08/08 14:57:54 PDT

mtinv Version 3.0.6 Thu Jan 11 16:00:25 PST 2018


Solution Name: T010.0sec_Z012.0km_
Event ID: mw
Origin ID: 001
Date:
Seismic Moment Tensor Solution

2022/08/08 (220) 20:44:10.00 38.5812 -119.4463 001
	Depth =  12.0 (km)
	Mw    =  4.03
	Mo    =  1.40x10^22 (dyne x cm)

	Percent Double Couple =  96 %
	Percent CLVD          =   4 %
	no ISO calculated
	Epsilon=0.02
	 Percent Variance Reduction =  11.08 %
	 Total Fit                  =  2.18 
	Major Double Couple
		            strike dip   rake
		Nodal Plane 1: 319  34  -57
		Nodal Plane 2: 102  62 -110

	DEVIATORIC MOMENT TENSOR

	Moment Tensor Elements: Spherical Coordinates
		Mrr= -1.07 Mtt=  0.88 Mff=  0.19
		Mrt= -0.75 Mrf= -0.06 Mtf= -0.61 EXP=22


	Moment Tensor Elements: Cartesian Coordinates
		 0.88  0.61 -0.75
		 0.61  0.19  0.06
		-0.75  0.06 -1.07

	Eigenvalues:
		T-axis eigenvalue=  1.40
		N-axis eigenvalue= -0.03
		P-axis eigenvalue= -1.37

	Eigenvalues and eigenvectors of the Major Double Couple:
		T-axis ev= 1.40 trend=206 plunge=15
		N-axis ev= 0.00 trend=111 plunge=18
		P-axis ev=-1.40 trend=334 plunge=67

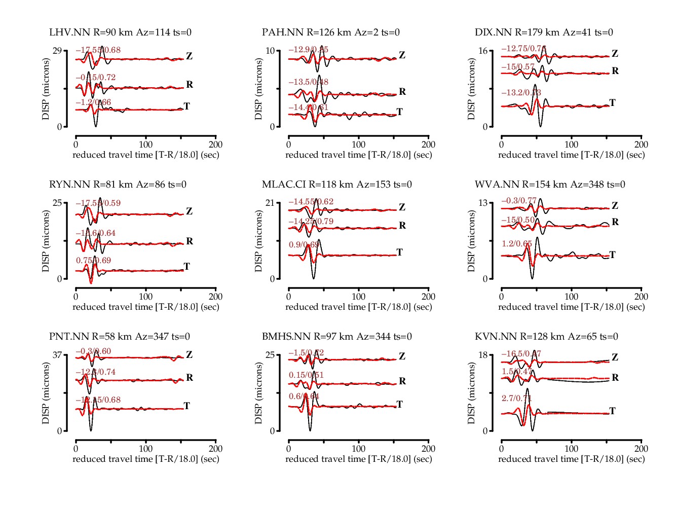
	Maximum Azmuithal Gap=191 Distance to Nearest Station= 58.1 (km)

	Number of Stations (D=Displacement/V=Velocity) Used=9 (defining only)
		
	 PNT.NN.D RYN.NN.D LHV.NN.D BMHS.NN.D
	 MLAC.CI.D PAH.NN.D KVN.NN.D WVA.NN.D
	 DIX.NN.D


              ##################                            
          #########################                         
        #############################                       
      ------------------###############                     
     ----------------------##############                   
    --------------------------############                  
  -------------   --------------###########                 
  ------------- P ----------------#########                 
 --------------   -----------------#########                
 #----------------------------------########                
 ###---------------------------------########               
 ####---------------------------------#######               
 #######------------------------------#######               
 ##########----------------------------######               
 ##############------------------------#####                
 ###################-----------------#####--                
  ######################################---                 
   #####################################--                  
   ####################################---                  
     ##################################-                    
      ################################-                     
        #   #########################                       
          T #######################                         
              ##################                            
                      #                                     


All Stations defining and nondefining: 
Station.Net 	Def 	Distance 	Azi    	Bazi  	lo-f 	hi-f vmodel
            	    	(km)     	(deg)  	(deg) 	(Hz) 	(Hz)    
PNT.NN (D) 	Y 	    58.1  	347  	167  	0.020 	0.100 PNT.NN.wus.glib
RYN.NN (D) 	Y 	    80.6  	 86  	266  	0.020 	0.100 RYN.NN.wus.glib
LHV.NN (D) 	Y 	    90.2  	114  	294  	0.020 	0.100 LHV.NN.wus.glib
BMHS.NN (D) 	Y 	    97.1  	344  	164  	0.020 	0.100 BMHS.NN.wus.glib
MLAC.CI (D) 	Y 	   118.2  	153  	334  	0.020 	0.080 MLAC.CI.wus.glib
PAH.NN (D) 	Y 	   125.5  	  2  	182  	0.020 	0.080 PAH.NN.wus.glib
KVN.NN (D) 	Y 	   127.7  	 65  	246  	0.020 	0.080 KVN.NN.wus.glib
WVA.NN (D) 	Y 	   154.4  	348  	168  	0.020 	0.080 WVA.NN.wus.glib
DIX.NN (D) 	Y 	   179.4  	 41  	221  	0.020 	0.080 DIX.NN.wus.glib

 (V)-velocity (D)-Displacement

Author: www-data
Date: 2022/08/08 21:57:53 UTC

Date: 2022/08/08 14:57:53 PDT

mtinv Version 3.0.6 Thu Jan 11 16:00:25 PST 2018


Solution Name: T011.0sec_Z022.0km_
Event ID: mw
Origin ID: 001
Date:
Seismic Moment Tensor Solution

2022/08/08 (220) 20:44:11.00 38.5812 -119.4463 001
	Depth =  22.0 (km)
	Mw    =  4.16
	Mo    =  2.15x10^22 (dyne x cm)

	Percent Double Couple =  66 %
	Percent CLVD          =  34 %
	no ISO calculated
	Epsilon=-0.17
	 Percent Variance Reduction =  14.33 %
	 Total Fit                  =  0.41 
	Major Double Couple
		            strike dip   rake
		Nodal Plane 1: 159  38 -102
		Nodal Plane 2: 354  53  -80

	DEVIATORIC MOMENT TENSOR

	Moment Tensor Elements: Spherical Coordinates
		Mrr= -2.04 Mtt=  0.41 Mff=  1.63
		Mrt= -0.21 Mrf= -0.57 Mtf= -0.34 EXP=22


	Moment Tensor Elements: Cartesian Coordinates
		 0.41  0.34 -0.21
		 0.34  1.63  0.57
		-0.21  0.57 -2.04

	Eigenvalues:
		T-axis eigenvalue=  1.78
		N-axis eigenvalue=  0.37
		P-axis eigenvalue= -2.15

	Eigenvalues and eigenvectors of the Major Double Couple:
		T-axis ev= 1.78 trend=77 plunge=8
		N-axis ev= 0.00 trend=168 plunge=8
		P-axis ev=-1.78 trend=303 plunge=79

	Maximum Azmuithal Gap=191 Distance to Nearest Station= 58.1 (km)

	Number of Stations (D=Displacement/V=Velocity) Used=9 (defining only)
		
	 PNT.NN.D RYN.NN.D LHV.NN.D BMHS.NN.D
	 MLAC.CI.D PAH.NN.D KVN.NN.D WVA.NN.D
	 DIX.NN.D


              #-----############                            
          #####--------############                         
        #####------------############                       
      ######--------------#############                     
     ######----------------##############                   
    ######-------------------#############                  
  -######--------------------##############                 
  #######---------------------#############                 
 ########----------------------#########   #                
 ########--------   -----------######### T #                
 ########-------- P -----------#########   ##               
 ########--------   ------------#############               
 #########----------------------#############               
 #########----------------------#############               
 ##########---------------------############                
 ##########---------------------############                
  ##########-------------------############                 
   ###########-----------------############                 
   ############---------------############                  
     ############-------------###########                   
      #############----------##########                     
        ##############------#########                       
          #########################                         
              ##################                            
                      #                                     


All Stations defining and nondefining: 
Station.Net 	Def 	Distance 	Azi    	Bazi  	lo-f 	hi-f vmodel
            	    	(km)     	(deg)  	(deg) 	(Hz) 	(Hz)    
PNT.NN (D) 	Y 	    58.1  	347  	167  	0.020 	0.100 PNT.NN.wus.glib
RYN.NN (D) 	Y 	    80.6  	 86  	266  	0.020 	0.100 RYN.NN.wus.glib
LHV.NN (D) 	Y 	    90.2  	114  	294  	0.020 	0.100 LHV.NN.wus.glib
BMHS.NN (D) 	Y 	    97.1  	344  	164  	0.020 	0.100 BMHS.NN.wus.glib
MLAC.CI (D) 	Y 	   118.2  	153  	334  	0.020 	0.080 MLAC.CI.wus.glib
PAH.NN (D) 	Y 	   125.5  	  2  	182  	0.020 	0.080 PAH.NN.wus.glib
KVN.NN (D) 	Y 	   127.7  	 65  	246  	0.020 	0.080 KVN.NN.wus.glib
WVA.NN (D) 	Y 	   154.4  	348  	168  	0.020 	0.080 WVA.NN.wus.glib
DIX.NN (D) 	Y 	   179.4  	 41  	221  	0.020 	0.080 DIX.NN.wus.glib

 (V)-velocity (D)-Displacement

Author: www-data
Date: 2022/08/08 21:57:52 UTC

Date: 2022/08/08 14:57:52 PDT

mtinv Version 3.0.6 Thu Jan 11 16:00:25 PST 2018


Solution Name: T012.0sec_Z012.0km_
Event ID: mw
Origin ID: 001
Date:
Seismic Moment Tensor Solution

2022/08/08 (220) 20:44:12.00 38.5812 -119.4463 001
	Depth =  12.0 (km)
	Mw    =  4.21
	Mo    =  2.55x10^22 (dyne x cm)

	Percent Double Couple =  98 %
	Percent CLVD          =   2 %
	no ISO calculated
	Epsilon=-0.01
	 Percent Variance Reduction =  21.46 %
	 Total Fit                  =  7.14 
	Major Double Couple
		            strike dip   rake
		Nodal Plane 1: 184  39  -85
		Nodal Plane 2: 358  51  -94

	DEVIATORIC MOMENT TENSOR

	Moment Tensor Elements: Spherical Coordinates
		Mrr= -2.48 Mtt=  0.02 Mff=  2.46
		Mrt=  0.12 Mrf= -0.55 Mtf=  0.05 EXP=22


	Moment Tensor Elements: Cartesian Coordinates
		 0.02 -0.05  0.12
		-0.05  2.46  0.55
		 0.12  0.55 -2.48

	Eigenvalues:
		T-axis eigenvalue=  2.52
		N-axis eigenvalue=  0.03
		P-axis eigenvalue= -2.55

	Eigenvalues and eigenvectors of the Major Double Couple:
		T-axis ev= 2.52 trend=91 plunge=6
		N-axis ev= 0.00 trend=1 plunge=3
		P-axis ev=-2.52 trend=247 plunge=83

	Maximum Azmuithal Gap=191 Distance to Nearest Station= 58.1 (km)

	Number of Stations (D=Displacement/V=Velocity) Used=9 (defining only)
		
	 PNT.NN.D RYN.NN.D LHV.NN.D BMHS.NN.D
	 MLAC.CI.D PAH.NN.D KVN.NN.D WVA.NN.D
	 DIX.NN.D


              ##################                            
          ##########----###########                         
        ##########--------###########                       
      ##########------------###########                     
     ##########-------------#############                   
    #########----------------#############                  
  -#########------------------#############                 
  ##########-------------------############                 
 ##########--------------------#############                
 ##########---------------------############                
 #########----------------------#############               
 #########-------   ------------########   ##               
 #########------- P ------------######## T ##               
 #########-------   ------------########   ##               
 #########----------------------############                
 #########----------------------############                
  #########--------------------############                 
   #########-------------------############                 
   ##########-----------------############                  
     ########----------------############                   
      #########-------------###########                     
        ########-----------##########                       
          #########------##########                         
              #######--#########                            
                                                            


All Stations defining and nondefining: 
Station.Net 	Def 	Distance 	Azi    	Bazi  	lo-f 	hi-f vmodel
            	    	(km)     	(deg)  	(deg) 	(Hz) 	(Hz)    
PNT.NN (D) 	Y 	    58.1  	347  	167  	0.020 	0.100 PNT.NN.wus.glib
RYN.NN (D) 	Y 	    80.6  	 86  	266  	0.020 	0.100 RYN.NN.wus.glib
LHV.NN (D) 	Y 	    90.2  	114  	294  	0.020 	0.100 LHV.NN.wus.glib
BMHS.NN (D) 	Y 	    97.1  	344  	164  	0.020 	0.100 BMHS.NN.wus.glib
MLAC.CI (D) 	Y 	   118.2  	153  	334  	0.020 	0.080 MLAC.CI.wus.glib
PAH.NN (D) 	Y 	   125.5  	  2  	182  	0.020 	0.080 PAH.NN.wus.glib
KVN.NN (D) 	Y 	   127.7  	 65  	246  	0.020 	0.080 KVN.NN.wus.glib
WVA.NN (D) 	Y 	   154.4  	348  	168  	0.020 	0.080 WVA.NN.wus.glib
DIX.NN (D) 	Y 	   179.4  	 41  	221  	0.020 	0.080 DIX.NN.wus.glib

 (V)-velocity (D)-Displacement

Author: www-data
Date: 2022/08/08 21:57:50 UTC

Date: 2022/08/08 14:57:50 PDT

mtinv Version 3.0.6 Thu Jan 11 16:00:25 PST 2018


Solution Name: T013.0sec_Z006.0km_
Event ID: mw
Origin ID: 001
Date:
Seismic Moment Tensor Solution

2022/08/08 (220) 20:44:13.00 38.5812 -119.4463 001
	Depth =   6.0 (km)
	Mw    =  4.26
	Mo    =  3.04x10^22 (dyne x cm)

	Percent Double Couple =  99 %
	Percent CLVD          =   1 %
	no ISO calculated
	Epsilon=0.00
	 Percent Variance Reduction =  37.39 %
	 Total Fit                  =  24.33 
	Major Double Couple
		            strike dip   rake
		Nodal Plane 1: 212  42  -47
		Nodal Plane 2: 340  60 -122

	DEVIATORIC MOMENT TENSOR

	Moment Tensor Elements: Spherical Coordinates
		Mrr= -2.21 Mtt= -0.64 Mff=  2.86
		Mrt=  1.19 Mrf= -0.97 Mtf=  0.37 EXP=22


	Moment Tensor Elements: Cartesian Coordinates
		-0.64 -0.37  1.19
		-0.37  2.86  0.97
		 1.19  0.97 -2.21

	Eigenvalues:
		T-axis eigenvalue=  3.04
		N-axis eigenvalue= -0.01
		P-axis eigenvalue= -3.03

	Eigenvalues and eigenvectors of the Major Double Couple:
		T-axis ev= 3.04 trend=92 plunge=10
		N-axis ev= 0.00 trend=357 plunge=27
		P-axis ev=-3.04 trend=201 plunge=61

	Maximum Azmuithal Gap=191 Distance to Nearest Station= 58.1 (km)

	Number of Stations (D=Displacement/V=Velocity) Used=9 (defining only)
		
	 PNT.NN.D RYN.NN.D LHV.NN.D BMHS.NN.D
	 MLAC.CI.D PAH.NN.D KVN.NN.D WVA.NN.D
	 DIX.NN.D


              ###--------------                             
          ##########-------########                         
        ##############-##############                       
      #################################                     
     ###############---##################                   
    ##############------##################                  
  -#############----------#################                 
  ############-------------################                 
 ############---------------################                
 ###########-----------------###############                
 ##########------------------################               
 #########--------------------##########   ##               
 ########---------------------########## T ##               
 ########----------------------#########   ##               
 ########----------------------#############                
 ########----------------------#############                
  #######------   --------------###########                 
   ######------ P --------------###########                 
   ######------   --------------##########                  
     #####----------------------#########                   
      ####---------------------########                     
        ###--------------------######                       
          ##------------------#####                         
              ---------------###                            
                                                            


All Stations defining and nondefining: 
Station.Net 	Def 	Distance 	Azi    	Bazi  	lo-f 	hi-f vmodel
            	    	(km)     	(deg)  	(deg) 	(Hz) 	(Hz)    
PNT.NN (D) 	Y 	    58.1  	347  	167  	0.020 	0.100 PNT.NN.wus.glib
RYN.NN (D) 	Y 	    80.6  	 86  	266  	0.020 	0.100 RYN.NN.wus.glib
LHV.NN (D) 	Y 	    90.2  	114  	294  	0.020 	0.100 LHV.NN.wus.glib
BMHS.NN (D) 	Y 	    97.1  	344  	164  	0.020 	0.100 BMHS.NN.wus.glib
MLAC.CI (D) 	Y 	   118.2  	153  	334  	0.020 	0.080 MLAC.CI.wus.glib
PAH.NN (D) 	Y 	   125.5  	  2  	182  	0.020 	0.080 PAH.NN.wus.glib
KVN.NN (D) 	Y 	   127.7  	 65  	246  	0.020 	0.080 KVN.NN.wus.glib
WVA.NN (D) 	Y 	   154.4  	348  	168  	0.020 	0.080 WVA.NN.wus.glib
DIX.NN (D) 	Y 	   179.4  	 41  	221  	0.020 	0.080 DIX.NN.wus.glib

 (V)-velocity (D)-Displacement

Author: www-data
Date: 2022/08/08 21:57:49 UTC

Date: 2022/08/08 14:57:49 PDT

mtinv Version 3.0.6 Thu Jan 11 16:00:25 PST 2018


Solution Name: T014.0sec_Z008.0km_
Event ID: mw
Origin ID: 001
Date:
Seismic Moment Tensor Solution

2022/08/08 (220) 20:44:14.00 38.5812 -119.4463 001
	Depth =   8.0 (km)
	Mw    =  4.37
	Mo    =  4.51x10^22 (dyne x cm)

	Percent Double Couple =  98 %
	Percent CLVD          =   2 %
	no ISO calculated
	Epsilon=0.01
	 Percent Variance Reduction =  74.16 %
	 Total Fit                  =  23.16 
	Major Double Couple
		            strike dip   rake
		Nodal Plane 1: 208  43  -58
		Nodal Plane 2: 347  55 -116

	DEVIATORIC MOMENT TENSOR

	Moment Tensor Elements: Spherical Coordinates
		Mrr= -3.76 Mtt= -0.56 Mff=  4.32
		Mrt=  1.39 Mrf= -1.08 Mtf=  0.64 EXP=22


	Moment Tensor Elements: Cartesian Coordinates
		-0.56 -0.64  1.39
		-0.64  4.32  1.08
		 1.39  1.08 -3.76

	Eigenvalues:
		T-axis eigenvalue=  4.51
		N-axis eigenvalue= -0.05
		P-axis eigenvalue= -4.46

	Eigenvalues and eigenvectors of the Major Double Couple:
		T-axis ev= 4.51 trend=95 plunge=6
		N-axis ev= 0.00 trend=3 plunge=21
		P-axis ev=-4.51 trend=202 plunge=68

	Maximum Azmuithal Gap=191 Distance to Nearest Station= 58.1 (km)

	Number of Stations (D=Displacement/V=Velocity) Used=9 (defining only)
		
	 PNT.NN.D RYN.NN.D LHV.NN.D BMHS.NN.D
	 MLAC.CI.D PAH.NN.D KVN.NN.D WVA.NN.D
	 DIX.NN.D


              ######-----------                             
          #############--##########                         
        #############################                       
      ################--###############                     
     ##############-------###############                   
    #############----------###############                  
  -#############------------###############                 
  ############---------------##############                 
 ############-----------------##############                
 ###########------------------##############                
 ##########--------------------##############               
 ##########--------------------##############               
 #########----------------------########   ##               
 ########-----------------------######## T ##               
 ########-----------------------########   #                
 ########--------   ------------############                
  #######-------- P ------------###########                 
   ######--------   ------------###########                 
   #######---------------------###########                  
     #####---------------------##########                   
      #####-------------------#########                     
        ####-----------------########                       
          ###---------------#######                         
              -------------#####                            
                                                            


All Stations defining and nondefining: 
Station.Net 	Def 	Distance 	Azi    	Bazi  	lo-f 	hi-f vmodel
            	    	(km)     	(deg)  	(deg) 	(Hz) 	(Hz)    
PNT.NN (D) 	Y 	    58.1  	347  	167  	0.020 	0.100 PNT.NN.wus.glib
RYN.NN (D) 	Y 	    80.6  	 86  	266  	0.020 	0.100 RYN.NN.wus.glib
LHV.NN (D) 	Y 	    90.2  	114  	294  	0.020 	0.100 LHV.NN.wus.glib
BMHS.NN (D) 	Y 	    97.1  	344  	164  	0.020 	0.100 BMHS.NN.wus.glib
MLAC.CI (D) 	Y 	   118.2  	153  	334  	0.020 	0.080 MLAC.CI.wus.glib
PAH.NN (D) 	Y 	   125.5  	  2  	182  	0.020 	0.080 PAH.NN.wus.glib
KVN.NN (D) 	Y 	   127.7  	 65  	246  	0.020 	0.080 KVN.NN.wus.glib
WVA.NN (D) 	Y 	   154.4  	348  	168  	0.020 	0.080 WVA.NN.wus.glib
DIX.NN (D) 	Y 	   179.4  	 41  	221  	0.020 	0.080 DIX.NN.wus.glib

 (V)-velocity (D)-Displacement

Author: www-data
Date: 2022/08/08 21:58:14 UTC

Date: 2022/08/08 14:58:14 PDT

mtinv Version 3.0.6 Thu Jan 11 16:00:25 PST 2018


Solution Name: T015.0sec_Z004.0km_
Event ID: mw
Origin ID: 001
Date:
Seismic Moment Tensor Solution

2022/08/08 (220) 20:44:15.00 38.5812 -119.4463 001
	Depth =   4.0 (km)
	Mw    =  4.27
	Mo    =  3.14x10^22 (dyne x cm)

	Percent Double Couple = 100 %
	Percent CLVD          =   0 %
	no ISO calculated
	Epsilon=-0.00
	 Percent Variance Reduction =  71.18 %
	 Total Fit                  =  64.90 
	Major Double Couple
		            strike dip   rake
		Nodal Plane 1: 220  51  -45
		Nodal Plane 2: 342  57 -131

	DEVIATORIC MOMENT TENSOR

	Moment Tensor Elements: Spherical Coordinates
		Mrr= -2.17 Mtt= -0.81 Mff=  2.98
		Mrt=  1.37 Mrf= -0.55 Mtf=  0.76 EXP=22


	Moment Tensor Elements: Cartesian Coordinates
		-0.81 -0.76  1.37
		-0.76  2.98  0.55
		 1.37  0.55 -2.17

	Eigenvalues:
		T-axis eigenvalue=  3.14
		N-axis eigenvalue=  0.00
		P-axis eigenvalue= -3.14

	Eigenvalues and eigenvectors of the Major Double Couple:
		T-axis ev= 3.14 trend=100 plunge=3
		N-axis ev= 0.00 trend=8 plunge=33
		P-axis ev=-3.14 trend=195 plunge=56

	Maximum Azmuithal Gap=191 Distance to Nearest Station= 58.1 (km)

	Number of Stations (D=Displacement/V=Velocity) Used=9 (defining only)
		
	 PNT.NN.D RYN.NN.D LHV.NN.D BMHS.NN.D
	 MLAC.CI.D PAH.NN.D KVN.NN.D WVA.NN.D
	 DIX.NN.D


              ####-------------                             
          ###########--------------                         
        ###############------########                       
      #################################                     
     ####################################                   
    ##################----################                  
  -################--------################                 
  ###############-----------###############                 
 ##############--------------###############                
 #############----------------##############                
 ############-----------------###############               
 ###########-------------------##############               
 ##########--------------------##############               
 #########----------------------########   ##               
 ########-----------------------######## T #                
 ########-----------------------########   #                
  ######------------------------###########                 
   #####---------   ------------###########                 
   #####--------- P ------------##########                  
     ####--------   ------------#########                   
      ###----------------------########                     
        #---------------------#######                       
          -------------------######                         
              ---------------###                            
                                                            


All Stations defining and nondefining: 
Station.Net 	Def 	Distance 	Azi    	Bazi  	lo-f 	hi-f vmodel
            	    	(km)     	(deg)  	(deg) 	(Hz) 	(Hz)    
PNT.NN (D) 	Y 	    58.1  	347  	167  	0.020 	0.100 PNT.NN.wus.glib
RYN.NN (D) 	Y 	    80.6  	 86  	266  	0.020 	0.100 RYN.NN.wus.glib
LHV.NN (D) 	Y 	    90.2  	114  	294  	0.020 	0.100 LHV.NN.wus.glib
BMHS.NN (D) 	Y 	    97.1  	344  	164  	0.020 	0.100 BMHS.NN.wus.glib
MLAC.CI (D) 	Y 	   118.2  	153  	334  	0.020 	0.080 MLAC.CI.wus.glib
PAH.NN (D) 	Y 	   125.5  	  2  	182  	0.020 	0.080 PAH.NN.wus.glib
KVN.NN (D) 	Y 	   127.7  	 65  	246  	0.020 	0.080 KVN.NN.wus.glib
WVA.NN (D) 	Y 	   154.4  	348  	168  	0.020 	0.080 WVA.NN.wus.glib
DIX.NN (D) 	Y 	   179.4  	 41  	221  	0.020 	0.080 DIX.NN.wus.glib

 (V)-velocity (D)-Displacement

Author: www-data
Date: 2022/08/08 21:57:46 UTC

Date: 2022/08/08 14:57:46 PDT

mtinv Version 3.0.6 Thu Jan 11 16:00:25 PST 2018


Solution Name: T016.0sec_Z010.0km_
Event ID: mw
Origin ID: 001
Date:
Seismic Moment Tensor Solution

2022/08/08 (220) 20:44:16.00 38.5812 -119.4463 001
	Depth =  10.0 (km)
	Mw    =  4.28
	Mo    =  3.31x10^22 (dyne x cm)

	Percent Double Couple =  99 %
	Percent CLVD          =   1 %
	no ISO calculated
	Epsilon=-0.01
	 Percent Variance Reduction =  66.88 %
	 Total Fit                  =  28.62 
	Major Double Couple
		            strike dip   rake
		Nodal Plane 1: 230  56  -19
		Nodal Plane 2: 331  74 -145

	DEVIATORIC MOMENT TENSOR

	Moment Tensor Elements: Spherical Coordinates
		Mrr= -1.00 Mtt= -1.96 Mff=  2.97
		Mrt=  1.45 Mrf= -1.04 Mtf=  0.93 EXP=22


	Moment Tensor Elements: Cartesian Coordinates
		-1.96 -0.93  1.45
		-0.93  2.97  1.04
		 1.45  1.04 -1.00

	Eigenvalues:
		T-axis eigenvalue=  3.29
		N-axis eigenvalue=  0.02
		P-axis eigenvalue= -3.31

	Eigenvalues and eigenvectors of the Major Double Couple:
		T-axis ev= 3.29 trend=97 plunge=11
		N-axis ev= 0.00 trend=352 plunge=52
		P-axis ev=-3.29 trend=195 plunge=36

	Maximum Azmuithal Gap=191 Distance to Nearest Station= 58.1 (km)

	Number of Stations (D=Displacement/V=Velocity) Used=9 (defining only)
		
	 PNT.NN.D RYN.NN.D LHV.NN.D BMHS.NN.D
	 MLAC.CI.D PAH.NN.D KVN.NN.D WVA.NN.D
	 DIX.NN.D


              -----------------                             
          ####---------------------                         
        ########---------------------                       
      ############---------------------                     
     ##############-------###############                   
    #################--###################                  
  -########################################                 
  ##################--#####################                 
 #################-----#####################                
 ###############--------####################                
 #############-----------####################               
 ###########--------------###################               
 ##########----------------#############   ##               
 #########------------------############ T ##               
 ########--------------------###########   #                
 #######----------------------##############                
  #####-----------------------#############                 
   ####------------------------############                 
   ####-------------------------##########                  
     ##-------------------------#########                   
      ---------   --------------#######                     
        ------- P ---------------####                       
          -----   ---------------##                         
              -----------------                             
                                                            


All Stations defining and nondefining: 
Station.Net 	Def 	Distance 	Azi    	Bazi  	lo-f 	hi-f vmodel
            	    	(km)     	(deg)  	(deg) 	(Hz) 	(Hz)    
PNT.NN (D) 	Y 	    58.1  	347  	167  	0.020 	0.100 PNT.NN.wus.glib
RYN.NN (D) 	Y 	    80.6  	 86  	266  	0.020 	0.100 RYN.NN.wus.glib
LHV.NN (D) 	Y 	    90.2  	114  	294  	0.020 	0.100 LHV.NN.wus.glib
BMHS.NN (D) 	Y 	    97.1  	344  	164  	0.020 	0.100 BMHS.NN.wus.glib
MLAC.CI (D) 	Y 	   118.2  	153  	334  	0.020 	0.080 MLAC.CI.wus.glib
PAH.NN (D) 	Y 	   125.5  	  2  	182  	0.020 	0.080 PAH.NN.wus.glib
KVN.NN (D) 	Y 	   127.7  	 65  	246  	0.020 	0.080 KVN.NN.wus.glib
WVA.NN (D) 	Y 	   154.4  	348  	168  	0.020 	0.080 WVA.NN.wus.glib
DIX.NN (D) 	Y 	   179.4  	 41  	221  	0.020 	0.080 DIX.NN.wus.glib

 (V)-velocity (D)-Displacement

Author: www-data
Date: 2022/08/08 21:57:44 UTC

Date: 2022/08/08 14:57:44 PDT

mtinv Version 3.0.6 Thu Jan 11 16:00:25 PST 2018


Solution Name: T017.0sec_Z004.0km_
Event ID: mw
Origin ID: 001
Date:
Seismic Moment Tensor Solution

2022/08/08 (220) 20:44:17.00 38.5812 -119.4463 001
	Depth =   4.0 (km)
	Mw    =  4.20
	Mo    =  2.49x10^22 (dyne x cm)

	Percent Double Couple =  92 %
	Percent CLVD          =   8 %
	no ISO calculated
	Epsilon=0.04
	 Percent Variance Reduction =  37.91 %
	 Total Fit                  =  4.06 
	Major Double Couple
		            strike dip   rake
		Nodal Plane 1: 354  48 -118
		Nodal Plane 2: 212  49  -62

	DEVIATORIC MOMENT TENSOR

	Moment Tensor Elements: Spherical Coordinates
		Mrr= -2.10 Mtt= -0.23 Mff=  2.34
		Mrt=  0.73 Mrf= -0.16 Mtf=  0.64 EXP=22


	Moment Tensor Elements: Cartesian Coordinates
		-0.23 -0.64  0.73
		-0.64  2.34  0.16
		 0.73  0.16 -2.10

	Eigenvalues:
		T-axis eigenvalue=  2.49
		N-axis eigenvalue= -0.10
		P-axis eigenvalue= -2.38

	Eigenvalues and eigenvectors of the Major Double Couple:
		T-axis ev= 2.49 trend=283 plunge=0
		N-axis ev= 0.00 trend=13 plunge=20
		P-axis ev=-2.49 trend=193 plunge=70

	Maximum Azmuithal Gap=191 Distance to Nearest Station= 58.1 (km)

	Number of Stations (D=Displacement/V=Velocity) Used=9 (defining only)
		
	 PNT.NN.D RYN.NN.D LHV.NN.D BMHS.NN.D
	 MLAC.CI.D PAH.NN.D KVN.NN.D WVA.NN.D
	 DIX.NN.D


              ##########-------                             
          ################-----####                         
        #############################                       
      ###################--############                     
     #################------#############                   
    ################---------#############                  
  -###############------------#############                 
  ##############---------------############                 
  #############-----------------############                
T ############------------------############                
  ##########---------------------############               
 ###########---------------------############               
 ##########----------------------############               
 #########-----------------------############               
 #########-----------------------###########                
 #########--------   ------------###########                
  #######--------- P -----------###########                 
   ######---------   -----------###########                 
   ######----------------------###########                  
     #####---------------------##########                   
      #####-------------------#########                     
        ###-----------------#########                       
          #----------------########                         
              -----------#######                            
                                                            


All Stations defining and nondefining: 
Station.Net 	Def 	Distance 	Azi    	Bazi  	lo-f 	hi-f vmodel
            	    	(km)     	(deg)  	(deg) 	(Hz) 	(Hz)    
PNT.NN (D) 	Y 	    58.1  	347  	167  	0.020 	0.100 PNT.NN.wus.glib
RYN.NN (D) 	Y 	    80.6  	 86  	266  	0.020 	0.100 RYN.NN.wus.glib
LHV.NN (D) 	Y 	    90.2  	114  	294  	0.020 	0.100 LHV.NN.wus.glib
BMHS.NN (D) 	Y 	    97.1  	344  	164  	0.020 	0.100 BMHS.NN.wus.glib
MLAC.CI (D) 	Y 	   118.2  	153  	334  	0.020 	0.080 MLAC.CI.wus.glib
PAH.NN (D) 	Y 	   125.5  	  2  	182  	0.020 	0.080 PAH.NN.wus.glib
KVN.NN (D) 	Y 	   127.7  	 65  	246  	0.020 	0.080 KVN.NN.wus.glib
WVA.NN (D) 	Y 	   154.4  	348  	168  	0.020 	0.080 WVA.NN.wus.glib
DIX.NN (D) 	Y 	   179.4  	 41  	221  	0.020 	0.080 DIX.NN.wus.glib

 (V)-velocity (D)-Displacement

Author: www-data
Date: 2022/08/08 21:57:43 UTC

Date: 2022/08/08 14:57:43 PDT

mtinv Version 3.0.6 Thu Jan 11 16:00:25 PST 2018


Solution Name: T018.0sec_Z004.0km_
Event ID: mw
Origin ID: 001
Date:
Seismic Moment Tensor Solution

2022/08/08 (220) 20:44:18.00 38.5812 -119.4463 001
	Depth =   4.0 (km)
	Mw    =  4.10
	Mo    =  1.73x10^22 (dyne x cm)

	Percent Double Couple =  99 %
	Percent CLVD          =   1 %
	no ISO calculated
	Epsilon=-0.01
	 Percent Variance Reduction =  15.65 %
	 Total Fit                  =  7.72 
	Major Double Couple
		            strike dip   rake
		Nodal Plane 1:   9  43  -98
		Nodal Plane 2: 199  47  -83

	DEVIATORIC MOMENT TENSOR

	Moment Tensor Elements: Spherical Coordinates
		Mrr= -1.71 Mtt=  0.09 Mff=  1.62
		Mrt=  0.19 Mrf=  0.09 Mtf=  0.40 EXP=22


	Moment Tensor Elements: Cartesian Coordinates
		 0.09 -0.40  0.19
		-0.40  1.62 -0.09
		 0.19 -0.09 -1.71

	Eigenvalues:
		T-axis eigenvalue=  1.72
		N-axis eigenvalue=  0.01
		P-axis eigenvalue= -1.73

	Eigenvalues and eigenvectors of the Major Double Couple:
		T-axis ev= 1.72 trend=284 plunge=2
		N-axis ev= 0.00 trend=14 plunge=5
		P-axis ev=-1.72 trend=171 plunge=84

	Maximum Azmuithal Gap=191 Distance to Nearest Station= 58.1 (km)

	Number of Stations (D=Displacement/V=Velocity) Used=9 (defining only)
		
	 PNT.NN.D RYN.NN.D LHV.NN.D BMHS.NN.D
	 MLAC.CI.D PAH.NN.D KVN.NN.D WVA.NN.D
	 DIX.NN.D


              ##################                            
          #################-#######                         
        ###############------########                       
      ###############----------########                     
     ##############-------------#########                   
    #############----------------#########                  
  -#############-----------------##########                 
  #############-------------------#########                 
  ############--------------------##########                
T ###########---------------------##########                
  ##########----------------------###########               
 ###########----------------------###########               
 ##########---------   -----------###########               
 ##########--------- P -----------###########               
 ##########---------   -----------##########                
 ##########----------------------###########                
  #########---------------------###########                 
   ########--------------------############                 
   #########------------------############                  
     #######-----------------############                   
      #######---------------###########                     
        ######------------###########                       
          #####--------############                         
              ##---#############                            
                      #                                     


All Stations defining and nondefining: 
Station.Net 	Def 	Distance 	Azi    	Bazi  	lo-f 	hi-f vmodel
            	    	(km)     	(deg)  	(deg) 	(Hz) 	(Hz)    
PNT.NN (D) 	Y 	    58.1  	347  	167  	0.020 	0.100 PNT.NN.wus.glib
RYN.NN (D) 	Y 	    80.6  	 86  	266  	0.020 	0.100 RYN.NN.wus.glib
LHV.NN (D) 	Y 	    90.2  	114  	294  	0.020 	0.100 LHV.NN.wus.glib
BMHS.NN (D) 	Y 	    97.1  	344  	164  	0.020 	0.100 BMHS.NN.wus.glib
MLAC.CI (D) 	Y 	   118.2  	153  	334  	0.020 	0.080 MLAC.CI.wus.glib
PAH.NN (D) 	Y 	   125.5  	  2  	182  	0.020 	0.080 PAH.NN.wus.glib
KVN.NN (D) 	Y 	   127.7  	 65  	246  	0.020 	0.080 KVN.NN.wus.glib
WVA.NN (D) 	Y 	   154.4  	348  	168  	0.020 	0.080 WVA.NN.wus.glib
DIX.NN (D) 	Y 	   179.4  	 41  	221  	0.020 	0.080 DIX.NN.wus.glib

 (V)-velocity (D)-Displacement

Author: www-data
Date: 2022/08/08 21:57:42 UTC

Date: 2022/08/08 14:57:42 PDT

mtinv Version 3.0.6 Thu Jan 11 16:00:25 PST 2018


Solution Name: T019.0sec_Z020.0km_
Event ID: mw
Origin ID: 001
Date:
Seismic Moment Tensor Solution

2022/08/08 (220) 20:44:19.00 38.5812 -119.4463 001
	Depth =  20.0 (km)
	Mw    =  4.18
	Mo    =  2.34x10^22 (dyne x cm)

	Percent Double Couple =  12 %
	Percent CLVD          =  88 %
	no ISO calculated
	Epsilon=0.44
	 Percent Variance Reduction =  18.53 %
	 Total Fit                  =  0.21 
	Major Double Couple
		            strike dip   rake
		Nodal Plane 1: 120  41   81
		Nodal Plane 2: 312  49   98

	DEVIATORIC MOMENT TENSOR

	Moment Tensor Elements: Spherical Coordinates
		Mrr=  2.29 Mtt= -1.21 Mff= -1.08
		Mrt=  0.01 Mrf=  0.43 Mtf=  0.14 EXP=22


	Moment Tensor Elements: Cartesian Coordinates
		-1.21 -0.14  0.01
		-0.14 -1.08 -0.43
		 0.01 -0.43  2.29

	Eigenvalues:
		T-axis eigenvalue=  2.34
		N-axis eigenvalue= -1.03
		P-axis eigenvalue= -1.32

	Eigenvalues and eigenvectors of the Major Double Couple:
		T-axis ev= 2.34 trend=273 plunge=83
		N-axis ev= 0.00 trend=127 plunge=6
		P-axis ev=-2.34 trend=36 plunge=4

	Maximum Azmuithal Gap=191 Distance to Nearest Station= 58.1 (km)

	Number of Stations (D=Displacement/V=Velocity) Used=9 (defining only)
		
	 PNT.NN.D RYN.NN.D LHV.NN.D BMHS.NN.D
	 MLAC.CI.D PAH.NN.D KVN.NN.D WVA.NN.D
	 DIX.NN.D


              -----------------                             
          -----------------------                           
        ------------------------- P -                       
      -###########---------------   ---                     
     ##################-----------------                    
    ######################---------------                   
  -##########################--------------                 
  -############################------------                 
 --##############################-----------                
 ---##############################----------                
 ---#############   ###############---------                
 ----############ T ################--------                
 ----############   #################-------                
 ------###############################------                
 -------###############################-----                
 --------##############################-----                
  ---------############################----                 
   ----------##########################---                  
   -------------##########################                  
     --------------######################                   
      ----------------------###--------                     
        -----------------------------                       
          ------------------------                          
              -----------------                             
                                                            


All Stations defining and nondefining: 
Station.Net 	Def 	Distance 	Azi    	Bazi  	lo-f 	hi-f vmodel
            	    	(km)     	(deg)  	(deg) 	(Hz) 	(Hz)    
PNT.NN (D) 	Y 	    58.1  	347  	167  	0.020 	0.100 PNT.NN.wus.glib
RYN.NN (D) 	Y 	    80.6  	 86  	266  	0.020 	0.100 RYN.NN.wus.glib
LHV.NN (D) 	Y 	    90.2  	114  	294  	0.020 	0.100 LHV.NN.wus.glib
BMHS.NN (D) 	Y 	    97.1  	344  	164  	0.020 	0.100 BMHS.NN.wus.glib
MLAC.CI (D) 	Y 	   118.2  	153  	334  	0.020 	0.080 MLAC.CI.wus.glib
PAH.NN (D) 	Y 	   125.5  	  2  	182  	0.020 	0.080 PAH.NN.wus.glib
KVN.NN (D) 	Y 	   127.7  	 65  	246  	0.020 	0.080 KVN.NN.wus.glib
WVA.NN (D) 	Y 	   154.4  	348  	168  	0.020 	0.080 WVA.NN.wus.glib
DIX.NN (D) 	Y 	   179.4  	 41  	221  	0.020 	0.080 DIX.NN.wus.glib

 (V)-velocity (D)-Displacement

Author: www-data
Date: 2022/08/08 21:57:40 UTC

Date: 2022/08/08 14:57:40 PDT

mtinv Version 3.0.6 Thu Jan 11 16:00:25 PST 2018


Solution Name: T020.0sec_Z002.0km_
Event ID: mw
Origin ID: 001
Date:
Seismic Moment Tensor Solution

2022/08/08 (220) 20:44:20.00 38.5812 -119.4463 001
	Depth =   2.0 (km)
	Mw    =  4.11
	Mo    =  1.85x10^22 (dyne x cm)

	Percent Double Couple =  92 %
	Percent CLVD          =   8 %
	no ISO calculated
	Epsilon=-0.04
	 Percent Variance Reduction =  13.30 %
	 Total Fit                  =  1.42 
	Major Double Couple
		            strike dip   rake
		Nodal Plane 1: 280  16 -113
		Nodal Plane 2: 124  75  -84

	DEVIATORIC MOMENT TENSOR

	Moment Tensor Elements: Spherical Coordinates
		Mrr= -0.94 Mtt=  0.79 Mff=  0.14
		Mrt= -1.26 Mrf=  0.92 Mtf= -0.29 EXP=22


	Moment Tensor Elements: Cartesian Coordinates
		 0.79  0.29 -1.26
		 0.29  0.14 -0.92
		-1.26 -0.92 -0.94

	Eigenvalues:
		T-axis eigenvalue=  1.77
		N-axis eigenvalue=  0.08
		P-axis eigenvalue= -1.85

	Eigenvalues and eigenvectors of the Major Double Couple:
		T-axis ev= 1.77 trend=208 plunge=30
		N-axis ev= 0.00 trend=302 plunge=6
		P-axis ev=-1.77 trend=43 plunge=60

	Maximum Azmuithal Gap=191 Distance to Nearest Station= 58.1 (km)

	Number of Stations (D=Displacement/V=Velocity) Used=9 (defining only)
		
	 PNT.NN.D RYN.NN.D LHV.NN.D BMHS.NN.D
	 MLAC.CI.D PAH.NN.D KVN.NN.D WVA.NN.D
	 DIX.NN.D


              ##################                            
          #########################                         
        ##########--------###########                       
      ######-------------------########                     
     ####-------------------------#######                   
    ###------------------------------#####                  
  --###--------------------   --------#####                 
  -#####------------------- P ----------###                 
 -########-----------------   -----------###                
 ###########------------------------------##                
 #############----------------------------###               
 ###############---------------------------##               
 ##################------------------------##               
 ####################----------------------##               
 #######################-------------------#                
 ##########################-----------------                
  #############################------------                 
   ################################-------                  
   ######################################-                  
     ####################################                   
      #####   #########################                     
        ### T #######################                       
          #   #####################                         
              ##################                            
                      #                                     


All Stations defining and nondefining: 
Station.Net 	Def 	Distance 	Azi    	Bazi  	lo-f 	hi-f vmodel
            	    	(km)     	(deg)  	(deg) 	(Hz) 	(Hz)    
PNT.NN (D) 	Y 	    58.1  	347  	167  	0.020 	0.100 PNT.NN.wus.glib
RYN.NN (D) 	Y 	    80.6  	 86  	266  	0.020 	0.100 RYN.NN.wus.glib
LHV.NN (D) 	Y 	    90.2  	114  	294  	0.020 	0.100 LHV.NN.wus.glib
BMHS.NN (D) 	Y 	    97.1  	344  	164  	0.020 	0.100 BMHS.NN.wus.glib
MLAC.CI (D) 	Y 	   118.2  	153  	334  	0.020 	0.080 MLAC.CI.wus.glib
PAH.NN (D) 	Y 	   125.5  	  2  	182  	0.020 	0.080 PAH.NN.wus.glib
KVN.NN (D) 	Y 	   127.7  	 65  	246  	0.020 	0.080 KVN.NN.wus.glib
WVA.NN (D) 	Y 	   154.4  	348  	168  	0.020 	0.080 WVA.NN.wus.glib
DIX.NN (D) 	Y 	   179.4  	 41  	221  	0.020 	0.080 DIX.NN.wus.glib

 (V)-velocity (D)-Displacement

Author: www-data
Date: 2022/08/08 21:57:39 UTC

Date: 2022/08/08 14:57:39 PDT

mtinv Version 3.0.6 Thu Jan 11 16:00:25 PST 2018


Solution Name: T021.0sec_Z018.0km_
Event ID: mw
Origin ID: 001
Date:
Seismic Moment Tensor Solution

2022/08/08 (220) 20:44:21.00 38.5812 -119.4463 001
	Depth =  18.0 (km)
	Mw    =  4.21
	Mo    =  2.57x10^22 (dyne x cm)

	Percent Double Couple =  99 %
	Percent CLVD          =   1 %
	no ISO calculated
	Epsilon=0.00
	 Percent Variance Reduction =  29.15 %
	 Total Fit                  =  15.21 
	Major Double Couple
		            strike dip   rake
		Nodal Plane 1: 219  38  138
		Nodal Plane 2: 344  66   60

	DEVIATORIC MOMENT TENSOR

	Moment Tensor Elements: Spherical Coordinates
		Mrr=  1.66 Mtt=  0.49 Mff= -2.15
		Mrt= -0.92 Mrf=  1.25 Mtf= -0.57 EXP=22


	Moment Tensor Elements: Cartesian Coordinates
		 0.49  0.57 -0.92
		 0.57 -2.15 -1.25
		-0.92 -1.25  1.66

	Eigenvalues:
		T-axis eigenvalue=  2.57
		N-axis eigenvalue= -0.01
		P-axis eigenvalue= -2.56

	Eigenvalues and eigenvectors of the Major Double Couple:
		T-axis ev= 2.57 trend=212 plunge=58
		N-axis ev= 0.00 trend=358 plunge=28
		P-axis ev=-2.57 trend=96 plunge=15

	Maximum Azmuithal Gap=191 Distance to Nearest Station= 58.1 (km)

	Number of Stations (D=Displacement/V=Velocity) Used=9 (defining only)
		
	 PNT.NN.D RYN.NN.D LHV.NN.D BMHS.NN.D
	 MLAC.CI.D PAH.NN.D KVN.NN.D WVA.NN.D
	 DIX.NN.D


              ---###############                            
          --------#################                         
        ------------#################                       
      -------------####----------------                     
     -----------########----------------                    
    ----------############---------------                   
  -----------##############----------------                 
  ---------################----------------                 
 ---------##################----------------                
 --------####################---------------                
 -------#####################---------------                
 ------#######################--------------                
 ------#######################----------   -                
 -----########################---------- P -                
 -----#########################---------   -                
 -----#########################-------------                
  ----#######   ###############------------                 
   ---####### T ###############-----------                  
   ----######   ###############-----------                  
     --########################---------                    
      --#######################--------                     
        ######################-------                       
          ####################----                          
              ###############--                             
                      #                                     


All Stations defining and nondefining: 
Station.Net 	Def 	Distance 	Azi    	Bazi  	lo-f 	hi-f vmodel
            	    	(km)     	(deg)  	(deg) 	(Hz) 	(Hz)    
PNT.NN (D) 	Y 	    58.1  	347  	167  	0.020 	0.100 PNT.NN.wus.glib
RYN.NN (D) 	Y 	    80.6  	 86  	266  	0.020 	0.100 RYN.NN.wus.glib
LHV.NN (D) 	Y 	    90.2  	114  	294  	0.020 	0.100 LHV.NN.wus.glib
BMHS.NN (D) 	Y 	    97.1  	344  	164  	0.020 	0.100 BMHS.NN.wus.glib
MLAC.CI (D) 	Y 	   118.2  	153  	334  	0.020 	0.080 MLAC.CI.wus.glib
PAH.NN (D) 	Y 	   125.5  	  2  	182  	0.020 	0.080 PAH.NN.wus.glib
KVN.NN (D) 	Y 	   127.7  	 65  	246  	0.020 	0.080 KVN.NN.wus.glib
WVA.NN (D) 	Y 	   154.4  	348  	168  	0.020 	0.080 WVA.NN.wus.glib
DIX.NN (D) 	Y 	   179.4  	 41  	221  	0.020 	0.080 DIX.NN.wus.glib

 (V)-velocity (D)-Displacement

Author: www-data
Date: 2022/08/08 21:57:37 UTC

Date: 2022/08/08 14:57:37 PDT

mtinv Version 3.0.6 Thu Jan 11 16:00:25 PST 2018


Solution Name: T022.0sec_Z016.0km_
Event ID: mw
Origin ID: 001
Date:
Seismic Moment Tensor Solution

2022/08/08 (220) 20:44:22.00 38.5812 -119.4463 001
	Depth =  16.0 (km)
	Mw    =  4.22
	Mo    =  2.64x10^22 (dyne x cm)

	Percent Double Couple =  99 %
	Percent CLVD          =   1 %
	no ISO calculated
	Epsilon=0.00
	 Percent Variance Reduction =  34.70 %
	 Total Fit                  =  21.53 
	Major Double Couple
		            strike dip   rake
		Nodal Plane 1: 230  44  161
		Nodal Plane 2: 334  77   48

	DEVIATORIC MOMENT TENSOR

	Moment Tensor Elements: Spherical Coordinates
		Mrr=  0.87 Mtt=  1.20 Mff= -2.07
		Mrt= -1.14 Mrf=  1.38 Mtf= -0.71 EXP=22


	Moment Tensor Elements: Cartesian Coordinates
		 1.20  0.71 -1.14
		 0.71 -2.07 -1.38
		-1.14 -1.38  0.87

	Eigenvalues:
		T-axis eigenvalue=  2.64
		N-axis eigenvalue= -0.01
		P-axis eigenvalue= -2.63

	Eigenvalues and eigenvectors of the Major Double Couple:
		T-axis ev= 2.64 trend=204 plunge=42
		N-axis ev= 0.00 trend=346 plunge=41
		P-axis ev=-2.64 trend=94 plunge=20

	Maximum Azmuithal Gap=191 Distance to Nearest Station= 58.1 (km)

	Number of Stations (D=Displacement/V=Velocity) Used=9 (defining only)
		
	 PNT.NN.D RYN.NN.D LHV.NN.D BMHS.NN.D
	 MLAC.CI.D PAH.NN.D KVN.NN.D WVA.NN.D
	 DIX.NN.D


              ##################                            
          ---######################                         
        -------######################                       
      ----------#######################                     
     ------------#######--------------#-                    
    -------------####--------------------                   
  ------------########---------------------                 
  -----------##########--------------------                 
 ----------#############--------------------                
 --------################-------------------                
 -------##################------------------                
 -------###################-------------   -                
 ------#####################------------ P -                
 -----######################------------   -                
 -----#######################---------------                
 ----#########################--------------                
  ---#########################-------------                 
   --##########################-----------                  
   --###########################----------                  
     -#######   ################--------                    
      ####### T ################-------                     
        #####   #################----                       
          #######################-                          
              ##################                            
                      #                                     


All Stations defining and nondefining: 
Station.Net 	Def 	Distance 	Azi    	Bazi  	lo-f 	hi-f vmodel
            	    	(km)     	(deg)  	(deg) 	(Hz) 	(Hz)    
PNT.NN (D) 	Y 	    58.1  	347  	167  	0.020 	0.100 PNT.NN.wus.glib
RYN.NN (D) 	Y 	    80.6  	 86  	266  	0.020 	0.100 RYN.NN.wus.glib
LHV.NN (D) 	Y 	    90.2  	114  	294  	0.020 	0.100 LHV.NN.wus.glib
BMHS.NN (D) 	Y 	    97.1  	344  	164  	0.020 	0.100 BMHS.NN.wus.glib
MLAC.CI (D) 	Y 	   118.2  	153  	334  	0.020 	0.080 MLAC.CI.wus.glib
PAH.NN (D) 	Y 	   125.5  	  2  	182  	0.020 	0.080 PAH.NN.wus.glib
KVN.NN (D) 	Y 	   127.7  	 65  	246  	0.020 	0.080 KVN.NN.wus.glib
WVA.NN (D) 	Y 	   154.4  	348  	168  	0.020 	0.080 WVA.NN.wus.glib
DIX.NN (D) 	Y 	   179.4  	 41  	221  	0.020 	0.080 DIX.NN.wus.glib

 (V)-velocity (D)-Displacement

Author: www-data
Date: 2022/08/08 21:57:36 UTC

Date: 2022/08/08 14:57:36 PDT

mtinv Version 3.0.6 Thu Jan 11 16:00:25 PST 2018


Event ID: mw
Origin ID: 001
Date:
Filename: plotmech.jpg

Event ID: mw
Origin ID: 001
Date:
Filename: plotz.jpg

Event ID: mw
Origin ID: 001
Date:
Filename: results.5.jpg